Петр Васильевич Путенихин - Двигатель космолёта на эффекте гравитационного самоускорения стр 5.

Шрифт
Фон

Аномалия Пионеров


Попробуем применить полученные результаты к известному парадоксу аномалии ускоренного движения зондов «Пионер». Напрямую это невозможно, поскольку зонды не ускоряются, а замедляются. Но давайте рассмотрим все возможные доводы с максимальной предвзятостью, принимая их в форме и объёмах, которые могут служить обоснованием аномалии.

Известно, что солнечная систем вся целиком движется со скоростью порядка 200-300 км/сек. Истолкуем это явление «в пользу» гравитационного ускорения. Не глядя на факты примем, что вся система «Галактика зонды» движется в обратном направлении по сравнению с направлением движения зондов относительно галактики. В этом случае реальное направление движения зондов относительно пространства оказывается противоположным, и эффект гравитационного ускорение будет действовать в правильном направлении против движения зондов относительно галактики, то есть будет их тормозить.

Оценим возможное значение ускорения при этих параметрах. Зададим заведомо завышенные начальные условия. Будем рассматривать зонд как стержень длиной в половину максимальной длины зонда, равной 2,9 метра, на концах которого закреплены точечные массы, равные половине общей массы зонда m = 129,3 кг. В таблице приведены значения нужных для расчетов величин:

Таблица




Принятые нами значения позволяют вычислить гравитационное самоускорение зонда:



Как видим, даже при указанных исходных данных, завышенных в пользу гравитационного эффекта, величина возникающего тормозящего ускорения меньше, чем 0,3% от наблюдаемого аномального ускорения. Следовательно, обнаруженный эффект гравитационного ускорения не может служить обоснованием аномального ускорения зондов.


Гравитационный двигатель космолета


Объяснить аномалию зондов «Пионер» обнаруженный эффект гравитационного самоускорения, как оказалось, не позволяет. Однако, тот факт, что для ускорения тел не требуется внешних сил, позволяет попытаться использовать его для космических перелетов. Разумеется, ускоряющие силы чрезвычайно малы, но космические расстояния велики настолько, что длительность перелетов будет составлять многие годы. Поэтому за длительное время скорость может увеличиться до таких значений, которые, возможно, будут недостижимы для традиционных энергопотребляющих двигателей космолетов.

Оценим возможность достижения скоростей, приемлемых для космических перелетов за приемлемое время. Пусть космолёт представляет собой легкий стержень длиной 1 000 метров, на концах которого закреплены отсеки, массой 1 000 тонн каждый. С помощью обычных двигателей и гравитационных маневров разгоним этот космолёт до скорости 10 000 м/сек. Возникшее при этом начальное гравитационное самоускорение составит:



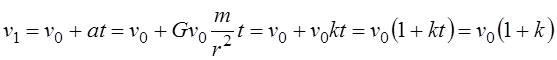
Это ускорение вызывает увеличение скорости космолёта. Для простоты произведём анализ этой скорости следующим образом. Пусть начальная скорость космолёта увеличивается каждую секунду на некоторую величину и составляет:



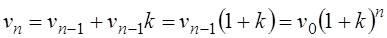
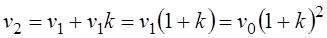
Здесь мы заменили константой k неизменные параметры космолёта, а время отбросили, поскольку вычисляем изменения скорости каждую секунду. На первой секунде возрастание скорости происходило от начального значения v0 и соответствующего этой скорости ускорения. Во вторую секунду скорость возрастает от нового значения скорости v1:



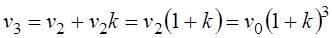
Соответственно, третье значение скорости составит:



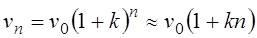
Таким образом, каждое последующее n-ное значение скорости будет равно:



В уравнении величина k<<1, поэтому можно заменить это выражение приближенной формулой:



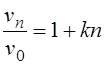
Найдём отношение конечной и начальной скоростей, чтобы увидеть, насколько возросла скорость:



Видим, что для удвоения скорости космолёта необходимо время, численно равное n = 1/k. И здесь мы видим, что малость величины k требует очень длительного времени на разгон. Например, для принятых выше значений параметров космолета величина k равна:

Ваша оценка очень важна

0
Шрифт
Фон

Помогите Вашим друзьям узнать о библиотеке

Скачать книгу

Если нет возможности читать онлайн, скачайте книгу файлом для электронной книжки и читайте офлайн.

fb2.zip txt txt.zip rtf.zip a4.pdf a6.pdf mobi.prc epub ios.epub fb3