Петр Васильевич Путенихин - Двигатель космолёта на эффекте гравитационного самоускорения стр 4.

Книгу можно купить на ЛитРес.
Всего за 0.01 руб. Купить полную версию
Шрифт
Фон

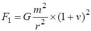
Итак, мы видим, что при движении стержня массы m на его концах притягиваются с силой, которая соответствует уменьшенной длине стержня. Эта сила притяжения равна:



Дополнительная сила, не уравновешенная сжатым связующим стержнем, таким образом, равна:



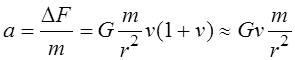
Сила эта, следовательно, приводит к ускоренному движению ведомой массы с ускорением:



Казалось бы, нам при вычислении ускорения следовало взять удвоенную массу, поскольку это и есть масса всего стержня. Но очевидно, что точно такая же сила действует и на ведущую массу, приводя её в точно такое же ускоренное движение, что, в конечном итоге, приведёт к полученному выражению.

Итак, мы обнаружили довольно странный эффект: к стержню не прикладывается никаких внешних сил, а он движется ускоренно! Причём эффект, имеющий строгое математическое обоснование. Такое движение явно выглядит как безопорное или, как его иногда называют, эфироопорное.


Парадокс? Нет!


Однако, строгие правила теории относительности требуют в обязательном порядке проверить выкладки и с точки зрения другой системы отсчета. И здесь нас, как может показаться, встречает неприятная неожиданность. Действительно, с точки зрения системы отсчета стержня, которая вроде бы должна считаться инерциальной, расстояние между массами неизменно, ничто не мешает гравитационному потенциалу, однажды распространившись, остаться неизменным навсегда. То есть, с точки зрения ИСО стержня исчезает причина для ускоренного движения. Налицо явные признаки парадокса: теория относительности для двух разных систем отсчета даёт два взаимоисключающих предсказания. В лабораторной, неподвижной системе отсчета мы вычислили ускорение, с которым, якобы, должен двигаться стержень с массами на конце, а в системе отсчета стержня мы не обнаружили никаких сил, способных привести стержень в ускоренное движение.

Однако, это кажущийся парадокс. Таких взаимоисключающих предсказаний специальная теория относительности не делает. Хотя бы потому, что она делает только одно предсказание: с точки зрения неподвижной, Земной системы отсчета. В этой ИСО мы и получили эффект ускоренного движения без приложения внешней силы.

А как же в системе отсчета стержня? Почему мы лишаем специальную теорию относительности права сделать не подходящее для нас предсказание? Дело в том, что на самом деле система отсчета стержня не является инерциальной. Неспроста я её всегда называл системой отсчета, без указания «инерциальная». Действительно, наблюдатель, находящийся на стержне легко обнаружит, что там действуют эквивалентные силы гравитации. Помимо сил гравитации, создаваемых массами на концах стержня. Все свободно висящие предметы будут постепенно перемещаться к ведомой массе. Если их принудительно переместить к ведущей, то они всё равно переместятся обратно к ведомой. Если взять пружинный динамометр, то он обязательно вытянется вдоль стержня и будет показывать некоторую силу. Здесь мы оставляем без внимания тот факт, что дополнительная сила существенно меньше сил притяжения масс.

Ну, так и что с того? Мы здесь имеем некоторое подобие парадокса близнецов. Да, с точки зрения специальной теории относительности в системе отсчета стержня нет никаких сил, приводящих его в ускоренное движение. Но есть загадочная сила, не имеющая видимого источника. Для СТО нет никакой разницы есть источник, нет источника она обязана к своему предсказанию добавить эту гравитационную поправку. СТО не имеет права утверждать и не утверждает, что ускоренного движения нет. Ускоренное движение не анализируется здесь по правилам, законам специальной теории относительности, но это не означает, что другие законы не действуют.

Тем не менее, это, как говорится, не её, СТО, проблемы. Она сделала свои непротиворечивые предсказания, а почему одно из них не выполняется не её проблема, ищите виновника. И кто же этот загадочный источник ускорения? Как ни странно, он всё-таки в недрах специальной теории относительности! Это второй постулат (принцип) теории. Прямым следствием из этого принципа является предельность скорости любого сигнала, в том числе и скорости распространения фронта гравитационного поля.

Никакого безопорного или эфироопорного движения в данном случае нет. Есть удивительный эффект возникновения разницы сил из-за того, что тянущая сила не успевает уменьшиться при удалении притягивающего тела. Притягивающее тело удалилось, и сила притяжения, казалось бы, должна уменьшиться. Но эффект снижения силы притяжения приходит к ведомому телу с опозданием и оно не знает, что источник силы удалился, поэтому «чувствует» увеличившуюся силу притяжения, как если бы оно и на самом деле приблизилось к неподвижному притягивающему телу.

Ваша оценка очень важна

0
Шрифт
Фон

Помогите Вашим друзьям узнать о библиотеке

Скачать книгу

Если нет возможности читать онлайн, скачайте книгу файлом для электронной книжки и читайте офлайн.

fb2.zip txt txt.zip rtf.zip a4.pdf a6.pdf mobi.prc epub ios.epub fb3