Екатерина Александровна Вавилова - Все науки. 6, 2022. Международный научный журнал стр 12.

Книгу можно купить на ЛитРес.
Всего за 360 руб. Купить полную версию
Шрифт
Фон

построенная с учётом дисперсии n0, nе и коэффициента поглощения α* в [010] направления.

Угловую зависимость Jx (β) в форме кривой 2, которая хорошо согласуется с (7) при К15= (24) ·109А·см· (Вт) -1 (λ=460нм).


Рис. 2. Спектральная зависимость Jz (1), Jx (2) и L=l0α* (3).


В то время, как измерявшаяся ранее в спектральная зависимость Jzявляется монотонной, спектральная зависимость Jx обнаруживает резкий максимум вблизи L1. Таким образом, спад Jx в длинноволновой области, где L <<1, обуcловлен ПОФТ. Интересен спад Jx в коротко волновой области, где L> 1.Так как АФ эффект не связан с временем жизни неравновесных носителей, то, возможно, это коротковолновой спад Jx обусловлен уменьшением K15 и, следовательно, подвижности в направлении [100].

2. ПРОСТРАНСТВЕННО ОСЦИЛИРУЮЩИЙ ФОТОВОЛЬТАИЧЕСКИЙ ТОК В СЕГНЕТОЭЛЕКТРИКЕ α-HgS

В работе рассмотрен фотовольтаические эффекты в оптически активных кристаллах α-HgS. Обсуждены некоторые экспериментальные и физические основы фотовольтаического эффекта в активных кристаллах.

Сернистая ртуть HgS существует в двух модификациях: черная модификация  метациннабарит (β-HgS) -кристаллизуется в кубической системе (точечная группа 3m), красная модификацияциннабарит или киноварь (α-HqS)  кристаллизуется в тригональной системе (точечная группа 32).

В работе исследовались красные кристаллы киновари, обладающие особенно большим удельным вращением вдоль оптической оси для пропускаемых ими красных лучей r=2350/мм. Исследовались кристаллы α  HgS, выращенными гидротермальным методом в лаборатория гидротер-мального синтез Институте кристаллографии Российской Академии наук. Исходными веществами для изготовления циннабарита были чистая ртуть в сера. Электрические, электрооптические свойства кристаллов α-HgS и фотоэлектрические свойства кристаллов исследовались в [5,6].

Показано, что оптическая активность кристалла α-HgS сильнее влияет на угловой распределение фотовольтаического тока, измеренного в линейно поляризованном свете.

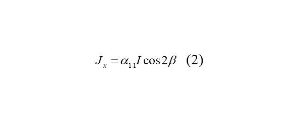
Рис. 3. показывает ориентационную зависимость фотовольтаического тока Jx (β) в α-HgS. В соответствии с (1) и симметрией точечной группы 32, выражение для Jx (β) при освещении в направлении оси y имеет вид



где  угол между плоскостью поляризации света и осью x.

Сравнение экспериментальной угловой зависимости Jx (β) с (2) дает

К11= (12) 109Асм (Вт) -1 (Т=133Κ, λ=500нм). Совпадение экспериментальной угловой зависимости Jx (β) с (2) показывает, что в области сильного поглощения (λ=500нм, α*>> 100см-1) влияние оптической активности в направлении оси y на угловое распределение Jx (β) является незначительным. Влияние оптической активности в z- направлении было обнаружено при исследовании угловой зависимости Jx (β) в различных спектральных областях (рис.1).

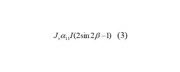
В соответствии с (1) угловая зависимость Jx (β) приосвещение в z  направлении (ось z совпадает с осью симметрии третьего порядка) имеет вид.



где β  угол между плоскостью поляризации света и осью y.

Рис.2 указывает на хорошее соответствие между экспериментальной зависимостью Jx (β) и (3) в области сильного поглощения света (λ= 400нм). Переход из коротковолновой области в длинноволновую, соответствующий уменьшению α*, изменяет характер угловой зависимости Jx (β) и ее амплитуду.


Рис.3. Ориентационная зависимость фотовольтаического тока Jx (β) в a-HgS (T=1330K).


На рис.4 представлена спектрально-угловая диаграмма фотовольтаического тока Jx. Очевидно, что ее форма определяется оптического активностью в z- направлении, ее спектральной дисперсией, а также спектральным распределением фотовольтаического эффекта в α-HgS.

Оптическая зависимость в z  направлении приводит, таким образом, к образованию структуры пространственного осциллирующего фотовольтаического тока Jx. Фотовольтаический ток осциллирует в z- направлении с периодом

Ваша оценка очень важна

0
Шрифт
Фон

Помогите Вашим друзьям узнать о библиотеке

Скачать книгу

Если нет возможности читать онлайн, скачайте книгу файлом для электронной книжки и читайте офлайн.

fb2.zip txt txt.zip rtf.zip a4.pdf a6.pdf mobi.prc epub ios.epub fb3