Екатерина Александровна Вавилова - Все науки. 6, 2022. Международный научный журнал стр 11.

Книгу можно купить на ЛитРес.
Всего за 360 руб. Купить полную версию
Шрифт
Фон

В этом случае фотовольтаический ток (2) осциллирует в кристалле с периодом



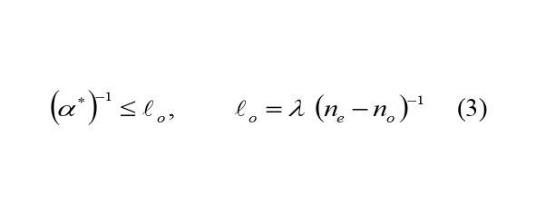
Как указывалось в [4] и как видно из (2) пространственно осциллирующий фотовольтаический ток (ПОФТ) может экспериментально наблюдаться в условиях сильного поглощения света.



где α*  коэффициент поглощения.

1. ПРОСТРАНСТВЕННО ОСЦИЛИРУЮЩИЙ ФОТОВОЛЬТАИЧЕСКИЙ ТОК В СЕГНЕТОЭЛЕКТРИКЕ SbSi

В настоящей работе обнаружен и исследован пространственно-осциллирующей фотовольтаический ток (ПОФТ) в направлении [100] в сегнетоэлектрике SbSI при освещении поляризованным светом в направлении [010].

Сульфоиодид сурьмы (SbSI) принадлежит к классу халькогенидов металлов пятой группы AVBVICII, где A-Sb; Bi; B-S, Se, Te; C-CL, Br, I. Кристаллы SbSI и SbSIxBr1-x  двуосные, обладают большим двойным преломлением, ниже температуры. Кюри Тс=220С кристаллы SbSI принадлежат к классу mm2 и обладают ромбической симметрией. При фазовом превращении происходит исчезновение центра симметрии, следовательно, ниже точки перехода кристаллы SbSI становятся сегнетоэлектриками.

Фазовый переход при 220С был зарегистрирован впервые Фатуццо [5] при изменении температурной зависимости диэлектрической проницаемости. Кристаллы обладают ярко выраженными полупроводниковыми свойствами, их фотоэлектрические свойства хорошо изучены [1].

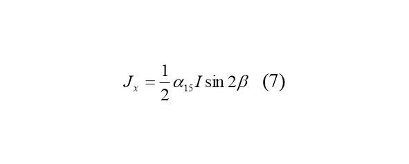
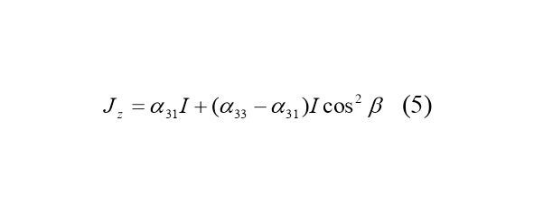
Измерения проводились для монокристаллов SbSI в сегнетоэлектрической фазе при температуре Т=133 К. Кристалл освещался плоско поляризованным светом с помощью ксеноновой лампы и монохроматора ЗМР. Измерялся стационарный фотовольтаический ток J по ранее описанному [1] методу. В соответствии с симметрией SbSI (точечная группа mm2) при измерении Jz ( направление спонтанной поляризации) и освещении кристалла в x и направлениях ПОФТ не возникает. Выражение для фотовольтаического тока Jz при освещении в x и y направлениях, соответственно, имеет вид:




где Iинтенсивность света, βугол между плоскостью поляризация света и осью z. На рис.1 кривая 1 представляет экспериментальную угловую зависимость Jz (β) для λ=600 нм при освещении вдоль [100]. Из сравнения экспериментальных угловых зависимостей Jz (β) с (4) и (5) были оценены численные значения αιjκ или фотовольтаические коэффициенты



С учетом плеохроизма и анизотропии отражения света в SbSI [6] были получены следующие значения:

К314108; К323108; K33 (23) 108Асм (Вт) -1. Таким образом, в SbSI фотовольтаические коэффициенты K31, K32, K33 более чем на порядок превышают соответствующие коэффициенты в LiNbO3: Fe.


Рис.1. Зависимость фотовольтаического тока Jz (1) при l = 600 нм и Jx (2) при l = 460 от ориентации плоскости поляризации света в SbSI.


Согласно (2), для SbSI компоненты фотовольтаического тока и являются пространственно-осциллирующими. Однако при освещении кристалла в области сильного поглощения в направлении осей x или y и при выполнении условия (3) вдоль поверхностей (100) и (010), соответственно, текут токи.




где β  угол между плоскостью поляризации света и осью z. Согласно [1,7] для SbSI условие сильного поглощения (3), должно выполняться уже при λ470 нм. Для наблюдения ПОФТ в условиях сильного поглощения на грань цинакоида (010) напылялись серебряные электроды в форме полос, параллельных оси спонтанной поляризации z. С помощью этих электродов при освещении кристалла в направлении [010] поляризованным светом с λ=460 нм измерялся ток Jx кривая 2 и длинноволновой области (λ=600нм, кривая 1) измерялся ток Jz. Угловая зависимость измеряемого тока удовлетворяет (5), в том время как ток  в этой области вообще не может наблюдаться из-за нарушения условия (3) и пространственной осцилляции. На рис. 2 представлены спектральные Jz (кривая 1), Jx (кривая 2), отнесённые к единице падающий энергии, а также спектральная зависимость

Ваша оценка очень важна

0
Шрифт
Фон

Помогите Вашим друзьям узнать о библиотеке

Скачать книгу

Если нет возможности читать онлайн, скачайте книгу файлом для электронной книжки и читайте офлайн.

fb2.zip txt txt.zip rtf.zip a4.pdf a6.pdf mobi.prc epub ios.epub fb3