Boxodir Xoshimovich - All sciences. 6, 2022. International Scientific Journal стр 11.

Шрифт
Фон

Законы физики, в том числе и законы сохранения конечно же действуют и в ядерных реакциях. Эти законы накладывают определённых ограничения на возможность самого осуществления ядерной реакции. Также существуют и некоторые более специфичные законы сохранения, свойственные для микромира, примером таких могут стать закон сохранения барионного или лептонного числа. Они выполняются на всех известных реакциях, но некоторые другие законы сохранения чётности, изоспина, странности, лишь действуют в фундаментальных взаимодействиях. Следствие из них  это правила отбора, определяющие настоящие и невозможные ядерные реакции, которые можно осуществить.

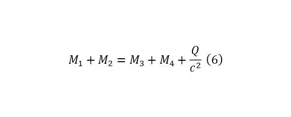
Закон сохранения энергии в ядерных реакциях действуют предсказуемо, но очень специфически для представителей макромира. При этом выполняется равенство сумм полных энергий (3).



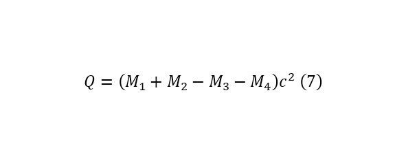
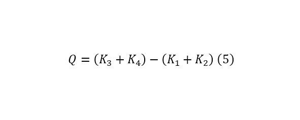
Если же расписать (3), то можно получить (4), из которого следует энергия реакции (5), которая удовлетворяет (6).





Таким образом (5), можно переписать и как (7).



Если же выход реакции больше нуля, то это реакция экзо-энергетическая и сопровождается выделением энергии в кинетическую энергию продуктов реакции, в обратном случае  поглощением и называется эндо-энергетической. Регулировка подобного процесс становится понятным и по разности масс до и после реакции и при положительной разности можно сказать, что она превращается в кинетическую энергию и реакция генерирует энергию, в обратном случае, то есть при отрицательной разности, процесс её поглощает.

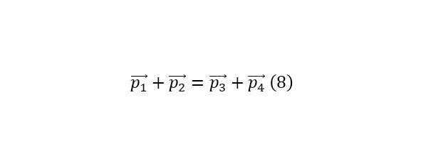
Также действует и закон сохранения импульса, что очень хорошо заметно при прямых реакциях (8).



Вместе с этим существует и закон сохранения момента импульса и целых ряд иных законов, но самыми основными действующими в реакции, являются эти два закона сохранения.

Но теперь важно остановиться на видах ядерных реакций, а существует их несколько: ядерная реакция деления, синтеза, термоядерная реакция и фотоядерная реакция. Первый вид  ядерная реакция деления, это процесс расщепления атомного ядра на два, а реже на три ядра с близкими ядерными массами, которые называются осколками деления. Также могут возникать и иные продукты реакций, в том числе лёгкие ядра  альфа-частицы, дейтроны, а также нейтроны и гамма-кванты. Деление само по себе спонтанно и самопроизвольно, либо же вынужденное, из-за взаимодействия с другими частицами, к примеру нейтронами. Деление тяжёлых ядер  это в большинстве случаев экзо-энергетический процесс, что позволяет из этого процесса получать энергию из излучения и кинетической энергии продуктов.

Ядерная реакция синтеза  второй ядерный процесс, которые состоит в слиянии двух ядер с образованием нового, более тяжёлого ядра. Такой процесс часто сопутствуется излучением гамма-квантов или других элементарных частиц. Слияние ядер чаще всего эндо-энергетический процесс, из-за чего чаще всего требуется введение энергии через кинетические энергии частиц, чтобы преодолеть кулоновский барьер  электростатическое отталкивание ядер. Слияние двух ядер и придание им энергии может осуществиться, как не сложно догадаться в ускорителях заряженных частиц, либо же эти частицы изначально обладали этой энергией, к примеру частицы космического излучения, но есть ещё один способ  это нагрев вещества до крайне высоких температур в специальном термоядерном реакторе, где кинетическая энергия частиц и температуры крайне огромны.

Таким образом можно подойти и к термоядерным реакциям. В таких реакциях, слияние лёгких ядер приводит к превращению излишней массы первоначальных ядер в энергию, поскольку суммарная масса слившихся ядер больше массы результирующего ядра-продукта реакции.

Из этого можно сделать вывод, что ядерной реакции синтеза исходные ядра должны обладать относительно большой кинетической энергией, ибо они испытывают довольно мощное электростатическое отталкивание при прохождении с их стороны кулоновского барьера. Их кинетическую энергию, по молекулярно-кинетической теории можно представлять в виде температуры всего вещества, следовательно нагрев приведёт к увеличению кинетической энергии составных частиц и их слиянию. Именно так и развивается нуклонный синтез в недрах звёзд с образованием новых ядер под огромной температурой.

Ваша оценка очень важна

0
Шрифт
Фон

Помогите Вашим друзьям узнать о библиотеке