Boxodir Xoshimovich - All sciences. 6, 2022. International Scientific Journal стр 10.

Шрифт
Фон

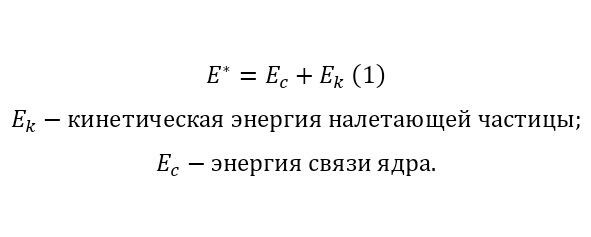
Здесь важно определить такое понятие как энергия возбуждения составного ядра, которое образовалось при поглощении свободного нуклона. Она составляет сумме энергии связи нуклонов ядра-мишени и части его кинетической энергии (1).



Часть кинетической энергии из-за большой разницы в массах ядра и нуклона в таких случаях становится равной кинетической энергии бомбардирующего нуклона. В среднем же энергия связи равна 8 МэВ и может изменяться только при отличительных особенностях образуемого в этом процессе составного ядра, но для точно указанного ядра-мишени и нуклона, это значение  константа. Кинетическая же энергия частицы может быть какой угодно, к примеру, в ядерных реакциях, где налетает нейтрон, за счёт того, что отсутствует отталкивающая сила ядра  кулоновский барьер, их энергия может быть крайне близка к нулю.

Таким образом, кинетическая энергия является минимальной энергией возбуждения составного ядра.

И именно из утверждения наличия составного ядра и существованию каналов распада ядер, можно сделать вывод о существовании каналов реакций. Сами по себе каналы реакции  это способы перехода из возбуждённого в невозбуждённое состояние. Типа и квантовое состояние налетающих частиц и ядер до начала реакции определяют входной канал ядерной реакции, после завершения же реакции совокупность образовавшихся частиц, то есть продуктов реакции и их квантовое состояние определяется результирующий выходной канал реакции. Полная характеристика ядерной реакции осуществляется входными и выходными каналами.

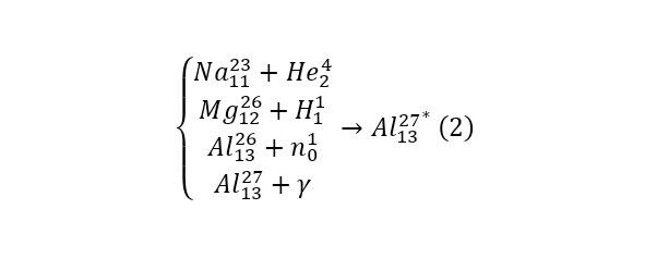
Составное ядро само по себе живёт довольно долгое время, благодаря чему сам выбор канала реакции вовсе не зависит от способа образования составного ядра, благодаря чему оно «забывает», как было образовано. Это становится причиной для утверждения независимости процессов организации составного ядра и его распада. Ярким примером может быть ситуация образования возбуждённого ядра алюминия-27 следующими способами (2).



Но распадается это яро одинаково во всех случаях, при условии одинаковой энергии возбуждения. Но при этом имеется и возможно распада обратным любой из этих реакций, с определённой вероятностью, не зависящей от истории возникновения самого возбуждённого ядра. Если же говорить о вероятности таких событий, то зависимость становится между сортом ядра-мишени и энергий.

Как и было ранее указано, ядерные реакции могут также протекать и по прямому каналу взаимодействия при больших энергиях, поскольку нуклоны ядра можно рассматривать как свободные. Отличие от предыдущей модели составного ядра от модели прямых реакции состоит изначально в распределении векторов импульсов частиц-продуктов ядерной реакции, относительно импульса бомбардирующих частиц. Если же в составной модели действует сферическая симметрия, то в данном случае геометрия более проста и преимущество в выборе направлений результирующими частицами состоит в направлении входящих частиц.

Ранее упоминалось понятие вероятности ядерной реакции, которая представляется величиной, которая называется эффективным сечением ядерной реакции. В лабораторной системе отчёта принимается ситуация покоя ядра-мишени, вероятность взаимодействия определяется произведением сечения на поток падающих частиц, при этом сечение выражается в единицах площади, а поток в количестве частиц, пересекающих единицу площади в единицу времени. Само сечение ядерной реакции исчисляется в крайне малых единицах площади  барнах, равных 1024 см2.

Отношение случаев реакции, отнесённое к числу бомбардировавших мишень частиц, называется выходом ядерной реакции. Эта величина определяется экспериментально при количественных измерений, что связано с сечением реакций, а измерение этого выхода в самой сути  измерения сечения реакции.

Законы физики, в том числе и законы сохранения конечно же действуют и в ядерных реакциях. Эти законы накладывают определённых ограничения на возможность самого осуществления ядерной реакции. Также существуют и некоторые более специфичные законы сохранения, свойственные для микромира, примером таких могут стать закон сохранения барионного или лептонного числа. Они выполняются на всех известных реакциях, но некоторые другие законы сохранения чётности, изоспина, странности, лишь действуют в фундаментальных взаимодействиях. Следствие из них  это правила отбора, определяющие настоящие и невозможные ядерные реакции, которые можно осуществить.

Ваша оценка очень важна

0
Шрифт
Фон

Помогите Вашим друзьям узнать о библиотеке