Максим Степанов - Дезаккомодация. Тренировка мышц глаза стр 7.

Книгу можно купить на ЛитРес.
Всего за 114.9 руб. Купить полную версию
Шрифт
Фон

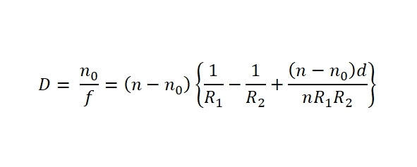
1. Формула. Расчет оптической силы линзы с учетом толщины линзы



n  показатель преломления материала линзы,

n0  показатель преломления среды, окружающей линзу, d  толщина линзы, R1  радиус кривизны поверхности, которая ближе к источнику света (дальше от фокальной плоскости), R2  радиус кривизны поверхности, которая дальше от источника света (ближе к фокальной плоскости),

R1 в этой формуле, знак радиуса положителен, если поверхность выпуклая, и отрицателен, если вогнутая. Для R2 наоборот  положителен, если линза вогнутая, и отрицателен, если выпуклая.

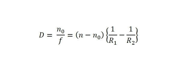
2. Формула. Расчет оптической силы линзы без учета ее толщины (формула тонкой линзы)

Если d пренебрежительно мало, относительно её фокусного расстояния, то такая линза называется тонкой, и её фокусное расстояние можно найти по формуле:



Эту формулу также называют формулой тонкой линзы. Величина фокусного расстояния положительна для собирающих линз, и отрицательна для рассеивающих.

Величина n0 / f называется оптической силой линзы (D). Оптическая сила линзы измеряется в диоптриях. Оптическая сила также зависит от показателя преломления окружающей среды n0

3. Характеристики хрусталика R1 = 10мм (5,33 на пике аккомодации) R2 = 6мм (5,33 на пике аккомодации) n = 1,386  1,43 (по схем. глазу 1,416) D = 19,11дптр (33,06дптр на пике аккомодации) d = 3,6  5мм

4. Показатели преломления n = 1,333 (водянистая влага) n = 1,000 (воздух)

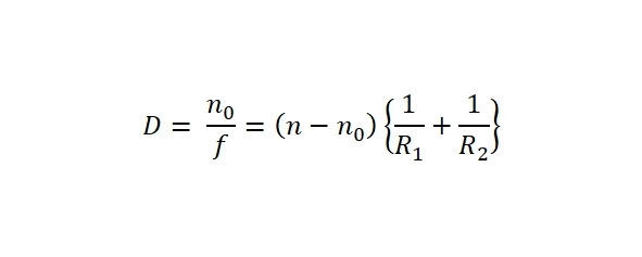
Для расчета оптической силы хрусталика будем использовать формулу тонкой линзы. (В формуле во второй скобке изменен знак с минуса на плюс так как хрусталик представляет собой двояковыпуклую линзу).



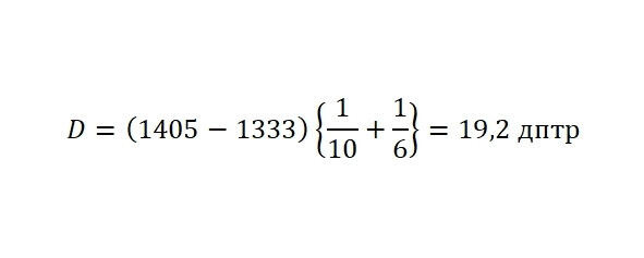
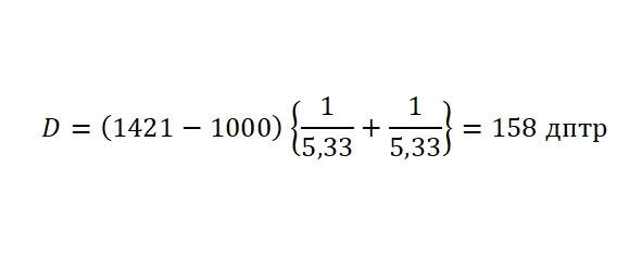
Хрусталик в покое аккомодации

Среда: водянистая влага



Среда: воздух



Хрусталик на пике аккомодации

Среда: водянистая влага



Среда: воздух



Как видим хрусталик представляет собой достаточно мощную двояковыпуклую линзу. И как выяснили хрусталик находясь в водянистой влаге действительно способен выдавать 19дптр (в покое аккомодации) и 33 дптр (на пике аккомодации).

Является ли слабость склеры причиной осевой миопии

В некоторых источниках есть упоминание, что причиной осевой миопии является наследственный признак, проявляющий в виде слабости склеры, а именно ее биомеханических свойств.

Рассмотрим диаграмму «Остаточная деформация склеры» представленную в монографии Аветисова Э. С. «Близорукость» [Рисунок 36].


Пояснение к графику

1  эмметропия; 2  миопия слабой степени; 3  миопия высокой степени (у экватора глазного яблока); 4  миопия высокой степени (у заднего полюса глазного яблока);


Установлено (Аветисов Э. С. и др.1971), что в глазах с эмметропией и миопией слабой степени растяжимость склеры практически одинакова, а в глазах с высокой миопией заметно больше, особенно в заднем отделе.

Наиболее вероятным механизмом необратимого растяжения глазного яблока при прогрессировании миопии следует считать накопление остаточных микродеформаций склеры вследствие периодических избыточных нагрузок на нее (Ферфильфайн И. Л. 1974)

Способность к накоплению микродеформаций  это биомеханическое свойство склеры, не характерное для здоровых глаз и связанное с ее трофическими и структурными изменениями.

Источник: Аветисов Э. С.  монография «Близорукость» 2-е издание

Согласно графику можно сделать следующий вывод. Если вам 25 лет и более, и у вас не прогрессирующая миопия слабой степени до 3,0 дптр, то с большой степенью вероятности можно предположить, что биомеханические свойства вашей склеры такие же как и у эмметропа, то есть в пределах нормы. При миопии высокой степени с большой вероятностью будет проявляться такая патология как низкая прочность и высокая растяжимость склеры, не характерная для здоровых глаз.

Какой размер ПЗО является нормой при эмметропии

Ваша оценка очень важна

0
Шрифт
Фон

Помогите Вашим друзьям узнать о библиотеке

Скачать книгу

Если нет возможности читать онлайн, скачайте книгу файлом для электронной книжки и читайте офлайн.

fb2.zip txt txt.zip rtf.zip a4.pdf a6.pdf mobi.prc epub ios.epub fb3