Максим Степанов - Дезаккомодация. Тренировка мышц глаза стр 6.

Книгу можно купить на ЛитРес.
Всего за 114.9 руб. Купить полную версию
Шрифт
Фон

На основании приведенных схем и описаний, касающихся функций как прямой, так и косой верхних мышц глаза, по аналогии можно без особого труда составить представление о биомеханике прямой и косой нижних мышц.

Источник: Волков В. В., Шамшинова А. М. «Функциональные методы исследования в офтальмологии»

Достаточно сложно написано для неспециалиста к которому я себя не причисляю. Поэтому для понимания значения каждой мышцы для вращения глазного яблока я создал макет глаза с мышцами. То есть взял обычный резиновый детский мяч, который условно стал глазом. Прикрепил к мячу 6 веревок имитирующих 4 прямых и 2 косых мышцы глаза. И разместил данную конструкцию в коробе, который условно стал глазницей глаза. Вращая попарно определенные веревочки я наглядно увидел значение каждой из 6 мышц. Какие пары мышц отвечают за положение глазного яблока я отобразил в рисунке ниже.



Пояснение к рисунку:

 ВПр  верхняя прямая мышца

 НПр  нижняя прямая мышца

 НарПр  наружная прямая мышца

 ВнПр  внутренняя прямая мышца

 ВКос  верхняя косая мышца

 НКос  нижняя косая мышца

Qr-код: Youtube  Аймидо  Видео «Глазодвигательные мышцы. Движение глаз. Косые мышцы»



Qr-код: Vkontakte  Аймидо  Видео «Глазодвигательные мышцы. Движение глаз. Косые мышцы»


Дополнительные механизмы для аккомодации

Данные по дополнительным механизмам аккомодации взяты из книги Волкова В. В., Шамшиновой А. М. «Функциональные методы исследования в офтальмологии».

 Кривизна роговицы при прищуривании век;

 Длина оси глазного яблока при конвергенции-дивергенции;

 Позиция хрусталика относительно роговицы при наклонах головы;

 Вариация «кривизны» поверхностей хрусталика и оптической плотности его вещества вдоль зрительной оси при напряжении-расслаблении ресничных мышц;

 Размеры зрачка, причем в норме оптическая установка глаза на близкие расстояния сопровождается сужением зрачка.

Источник: Волков В. В., Шамшинова А. М. «Функциональные методы исследования в офтальмологии»

Выводы по данной главе. В первую очередь интересно мнение Волкова В. В. о том, что при прищуривание век изменяется кривизна роговицы, а не сужается площадь зрачка, как считал Аветисов Э. С.

Некорригированная острота зрения миопического глаза в значительной степени зависит от ширины зрачка. У миопов острота зрения повышается при ярком освещении или прищуривании глаз, когда зрачок частично прикрывается веками.

Источник: Аветисов Э. С.  монография «Близорукость» 2-е издание

Изменение длины оси глазного яблока, скорее всего, связано с конвергентным удлинением глаз при взгляде вблизь (Дашевский А. И.). Но данное изменение не значительное: на 3,0 дптр аккомодации 0,5 дптр приходится на конвергентное удлинение глаз и 2,5 дптр за счет изменения оптической силы хрусталика.

Хрусталик как главный участник в процессе аккомодации глаза

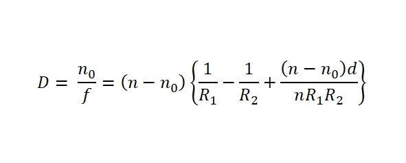
Может ли хрусталик выдавать оптическую силу 19  33дптр находясь в воде (водянистой влаге). Почему решил раскрыть данный вопрос. Дело в том, что я часто встречал утверждение, что хрусталик не ответственен за аккомодацию, так как он находится в воде. В связи с тем, что преломляющая сила воды (водянистой влаги) и хрусталика практически равны (приблизительно 1,33) следовательно, хрусталик практически ничего не преломляет, и за аккомодацию отвечают другие структуры глаза. Давайте разбираться в этом вопросе. Действительно ли верны данные предположения либо нет.

Хрусталик это линза, находящаяся в жидкости, которая называется водянистая влага. Коэффициент преломления водянистой влаги соответствует коэффициенту преломления воды. То есть по факту нам нужно рассчитать преломление линзы, которая находится в воде. Следовательно для решения данного вопроса обратимся к геометрической оптике и к ее формулам. Для наглядности мы сделаем два расчета: определение оптической силы хрусталика в водянистой влаге и в воздухе.

1. Формула. Расчет оптической силы линзы с учетом толщины линзы



n  показатель преломления материала линзы,

Ваша оценка очень важна

0
Шрифт
Фон

Помогите Вашим друзьям узнать о библиотеке

Скачать книгу

Если нет возможности читать онлайн, скачайте книгу файлом для электронной книжки и читайте офлайн.

fb2.zip txt txt.zip rtf.zip a4.pdf a6.pdf mobi.prc epub ios.epub fb3