Нодир Эсоналиевич Алимов - Фотоэлектрические явления в широкозонных полупроводниковых гетероструктурах с глубокими примесными уровнями. Монография стр 5.

Книгу можно купить на ЛитРес.
Всего за 80 руб. Купить полную версию
Шрифт
Фон

Асимметричность свойств косо-напыленных пленок наблюдается и при измерении зависимостей параллельного (рис. 9, кривая 1) и перпендикулярного (кривая 2) фототоков от интенсивности возбуждающего света L (ЛАХ) при освещении светом с



В обоих направлениях имеются три участка со значениями и это должно определяться изменением условий рекомбинации и протекания тока в зависимости от уровня возбуждения.

Для интерпретации ЛАХ учтем, что в косо-напыленных пленках CdTe: Ag, как и в других неоднородных полупроводниках [13], потенциальные барьеры могут служить дрейфовыми или рекомбинационными барьерами для неравновесных носителей. При наличии дрейфовых Едр и рекомбинационных Eрек барьеров изменения проводимости можно записать следующим образом [27]:



где e  заряд электрона,  коэффициент поглощения, η  квантовая эффективность, L  интенсивность света, τ0, μ0  соответственно время жизни и подвижность носителей заряда в однородном полупроводнике, sn, p, ls, p  сечение и длина каналов протекания в полупроводнике соответственно с p и n типом проводимости. При освещении зависимость Δσ от L определяется не только условиями генерации и рекомбинации неравновесных носителей заряда, но и изменением величины и ширины потенциальных барьеров [28]. Влияние барьеров на ФП более заметно при малых уровнях возбуждения.



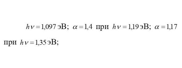
Из рис. 9 видно, что с увеличением энергии кванта подсветки уменьшается поперечная ФП (поперечная по отношению вдоль пленки). Например, по нашим оценкам, ЛАХ поперечной ФП в области значений L (в отн. ед.) от 5 до 15 отн. ед. аппроксимируется со степенной закономерностью



при подсветке



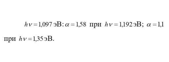
Такое однозначное поведение ЛАХ, т.е. уменьшение ФП с ростом, связано с отсутствием влияния асимметрии на поперечную ФП. При параллельной асимметрии кристаллитов фотопроводимость в области значений от 5 до 15 аппроксимируется со степенной закономерностью



при подсветке с



Сверх-линейность ЛАХ при малых уровнях возбуждения показывает, что в этой области дрейфовые барьеры уменьшаются быстрее по сравнению с рекомбинационными барьерами, особенно это проявляется в случае перпендикулярной ФП. С увеличением интенсивности света ЛАХ переходит от сверх-линейности к линейности и сублинейности. В этом случае влияние дрейфовых барьеров исчезает и поэтому ЛАХ в обоих направлениях практически совпадают.

Различие коэффициентов ЛАХ при малых уровнях возбуждения особенно при освещении квантами света hν=1,1÷1,2 эВ, когда генерируется электроны из уровня EC  1,03 эВ в зону проводимости, и асимметрия спектральных зависимостей ФП говорят о том, что потенциальные барьеры в обоих направлениях различны.

Отметим также еще одну особенность спектрального распределения ФП. Нарастание ФП происходит более резко, чем возрастает коэффициент поглощения (см. например рис. 2 и 7). Это показывает, что ФП определяется не только скоростью генерации носителей, но и временем жизни. Достаточно резкое его повышение (при возрастании поглощении света на 12 порядка ФП растет на 34 порядка) показывает на возможное влияние рекомбинационных барьеров.

Таким образом, изучая ЛАХ, спектры ФП и Iкз в направлениях вдоль и поперек возникающей фото-ЭДС, можно получить информацию об асимметричности барьеров в этих направлениях.

§4. Примесный АФН-эффект. Спектральное распределение фото- ЭДС в Тонких пленках

Теперь приступаем к рассмотрению спектра фото-ЭДС и тока короткого замыкания. Как следует из анализа спектра поглощения (§1) и спектра фотопроводимости (§3) легированных серебром Тонких пленок CdTe, что последние обнаруживают существенное примесное поглощение и обладают примесной фотопроводимостью. Возникает нетривиальный естественный вопрос не возникают высоковольтный фото-ЭДС, т. е. АФН в примесной области поглощения в этих пленках. До настоящего времени практически во всех работах [110], посвященных исследованию АФН эффекта, утверждалось, что этот эффект вызывается светом из области собственного поглощения [2]. Наличие локальных уровней учитывалось как компенсирующие центры или как центры, определяющие время жизни носителей заряда, и обычно рассматривалась их роль в определении свойств кристаллита, а фото-возбуждением носителей заряда из них пренебрегалось.

Ваша оценка очень важна

0
Шрифт
Фон

Помогите Вашим друзьям узнать о библиотеке

Скачать книгу

Если нет возможности читать онлайн, скачайте книгу файлом для электронной книжки и читайте офлайн.

fb2.zip txt txt.zip rtf.zip a4.pdf a6.pdf mobi.prc epub ios.epub fb3