Нодир Эсоналиевич Алимов - Фотоэлектрические явления в широкозонных полупроводниковых гетероструктурах с глубокими примесными уровнями. Монография стр 4.

Книгу можно купить на ЛитРес.
Всего за 80 руб. Купить полную версию
Шрифт
Фон

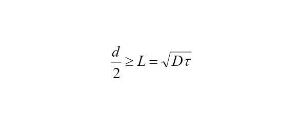
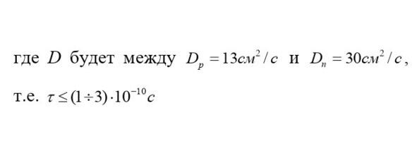
Представленные спектральные характеристики, а также их зависимость от температуры позволяют нам предложить следующую модель фотополупроводника. Отсутствие коротковолнового спада фотопроводимости показывает, что либо скорость рекомбинации на поверхности мала, что маловероятно, либо длина диффузии носителей превышает размер кристаллита. Так как средняя толщина образца не превышала d = 1,2 мкм, что соответствует размеру кристаллита, то, считая, что коэффициент диффузии в нем такой, как и в кристалле, получаем





Прямое измерение времени жизни носителей в слое по спаду ФП после возбуждения коротким импульсом возбуждения дало, что это время порядка 100 пс (см. §6). Это согласуется с последней оценкой.

Монотонное возрастание фототока с увеличением энергии квантов света показывает, что одновременно меняется и скорость генерации носителей и изменяются барьеры (из-за чего спектральная зависимость может сглаживаться).

Подсветка должна стабилизировать изменение барьеров, что и выражается в выявлении полос примесной ФП энергиями активации около 0,9 эВ и 1,3 эВ (рис.7.). Длинноволновый край ФП находится около 0,4 0,5 эВ. Понижение температуры приводит к опустошению этих уровней вследствие роста длины экранирования.

При 100 К спектральные зависимости показаны на рис. 8. Из них следует, что при низких температурах фото-генерация возможна только из уровней с энергией активации 1,1 эВ. Подсветка заполняет более мелкие уровни, и в спектре ФП выявляются уровни с энергий активации 0,5 и 0,8 эВ. Эти значения показывают, что в области барьеров имеется р  тип проводимости, а в объеме при низких температурах проводимость также становится р  типа. Появление фоточувствительности в направлении, параллельном асимметрии барьеров, в области



при 300К указывает на то, что в этом направлении, как упоминалось выше имеются каналы с более выраженным р  типом проводимости. С уменьшением температуры термическая генерация носителей заряда уменьшается и области объемных зарядов увеличиваются. Поэтому при температуре 100 К канал c более выраженным р  типом проводимости в направлении, параллельном асимметрии барьеров, появляются только при дополнительной подсветке с



так как уровень



в CdTe является ловушкой для дырок [15], и при подсветке он заполняется дырками.

Уменьшение фоточувствительности в области эВ при перпендикулярной ФП (рис. 8. кривая 3), а также ее меньшие величины при температуры 300К по сравнению с параллельной ФП указывает на то, что в этом направлении имеются потенциальные барьеры с более выраженной проводимостью nтипа.



Следует отметить, что как темновая, так и при освещении электропроводность поперек слоя больше, чем вдоль его. По-видимому, это связано с тем, что при росте кристаллитов поперек слоя плотность поверхностных состояний из-за лучшего их сращивания получилась меньше, чем вдоль слоя, когда сращивание было хуже. Это и приводит к тому, что величина барьеров вдоль и поперек слоя (оценивая по абсолютному значению тока) различается на 510 мэВ. Фотопроводимость в области 0.60.9 эВ также подтверждает различие в скорости генерации носителей из уровней в барьере, так как Анизотропия фотопроводимости (изменение высоты барьера) больше вдоль слоя. ФП с увеличением подсветки уменьшается, что связано с уменьшением времени жизни носителей (на что указывает и люкс-амперные характеристики представленные на рис. 9).

Асимметричность свойств косо-напыленных пленок наблюдается и при измерении зависимостей параллельного (рис. 9, кривая 1) и перпендикулярного (кривая 2) фототоков от интенсивности возбуждающего света L (ЛАХ) при освещении светом с



В обоих направлениях имеются три участка со значениями и это должно определяться изменением условий рекомбинации и протекания тока в зависимости от уровня возбуждения.

Для интерпретации ЛАХ учтем, что в косо-напыленных пленках CdTe: Ag, как и в других неоднородных полупроводниках [13], потенциальные барьеры могут служить дрейфовыми или рекомбинационными барьерами для неравновесных носителей. При наличии дрейфовых Едр и рекомбинационных Eрек барьеров изменения проводимости можно записать следующим образом [27]:

Ваша оценка очень важна

0
Шрифт
Фон

Помогите Вашим друзьям узнать о библиотеке

Скачать книгу

Если нет возможности читать онлайн, скачайте книгу файлом для электронной книжки и читайте офлайн.

fb2.zip txt txt.zip rtf.zip a4.pdf a6.pdf mobi.prc epub ios.epub fb3