Денис Владимирович Соломатин - Математические модели в естественнонаучном образовании. Том I стр 9.

Книгу можно купить на ЛитРес.
Всего за 990 руб. Купить полную версию
Шрифт
Фон

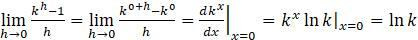
д. Если теперь изменить обозначение временного интервала с  на , то пункт (г) показывает, что . Если  считать бесконечно малым, то получим . Проиллюстрировать тот факт, что  можно выбрав несколько значений  при малом  и сравнив значения  с  . Этот результат легко доказать формально:



.

д. Докажите, что решением уравнения  при начальном условии  является .

Как это согласуется с формулой для выражения  через  и  в модели разностного уравнения ? Специалисты часто называют  в каждой из выведенных выше формул «конечной скоростью роста», в то время как  называется «собственной скоростью роста».

1.2. Нелинейные модели

Мальтузианская модель предсказывает, что рост числа обучаемых математиков будет экспоненциальным. Однако такое предсказание не может быть оставаться точным продолжительное время. Ведь экспоненциальные функции растут быстро и без ограничений; и, согласно такой модели, рано или поздно математиков окажется больше, чем количество атомов во Вселенной. Модель, разработанная в данном разделе, должна дополнительно учитывать какой-то важный фактор. Чтобы быть более реалистичными в моделировании, нужно пересмотреть предположения, которые вошли в модель.

Главный недостаток заключается в предположении о том, что параметры  (доля выпускающихся молодых специалистов) и  (доля уходящих на заслуженных отдых пенсионеров) для моделируемой численности одинаковы независимо от текущего значения  (количество профессиональных математиков работоспособного возраста). На самом деле, когда число  становится большим, из-за перенасыщения рынка интеллектуального труда разумно ожидать более высокий уровень  и низкий . Комбинируя эти факторы, можно сказать, что по мере увеличения численности  конечные темпы её роста должны уменьшаться. Поэтому нужно как-то модифицировать модель так, чтобы темпы роста зависели от текущей численности; то есть скорость роста должна зависеть от так называемой «плотности».

Вопросы для самопроверки:

 Какие факторы могут стать причиной изменения плотности? Почему большое значение численности  может иметь высокий уровень  и/или низкий ?

Для создания нелинейной модели, чтобы спроектировать более адекватную модель, проще всего сфокусироваться на относительной величине , показывающей долю изменения численности на общее число, то есть на темпе роста популяции за один шаг времени. Как только поймем от чего зависят темпы роста общей численности на одного человека и найдем формулу для их описания, сможем получить из этого итоговую формулу для .

При небольших значениях  темпы роста на человека должны быть большими, можно представить себе небольшой элитарный клуб интеллектуалов с большим количеством ресурсов, доступных в его среде для поддержки дальнейшего роста численности. Однако для больших значений  дальнейшая скорость роста численности должна быть намного меньше, поскольку люди конкурируют как за идеи, так и за финансы в сфере их профессиональных интересов. Для еще больших значений  темпы роста должны быть отрицательными, это будет означать, что численность сократится. Тогда разумно предположить, что искомая величина , как функция от , имеет график, представленный на рисунке 1.1.



Рисунок 1.1. Темпы роста численности  в зависимости от текущего значения численности .

Конечно, нельзя предугадать, как выглядит график  без сбора дополнительной информации. Возможно, график должен быть вогнутым или выпуклым, например. Тем не менее, это лишь первая попытка создать новую модель.

Вопросы для самопроверки:

 Постройте график темпов роста значений численности по мальтузианской модели. Чем тот график отличается от изображенного на рисунке 1.1?

Для мальтузианской модели , поэтому тот график темпов роста представляет собой горизонтальную линию и снижения  по мере увеличения  не происходит. С другой стороны, наклонная линия рисунка 1.1 улучшенной модели приводит к формуле , для некоторых  и . В конечном итоге закономерность проявится яснее если записать уравнение прямой как  , где   абсцисса точки пересечения горизонтальный оси,   ордината пересечения вертикальной. Заметим, что   и  должны быть положительными. Через алгебраические выкладки получим новое разностное уравнение . Эта модель обычно называется «дискретной логистической моделью» или «дискретным логистическим уравнением», хотя, к сожалению, многие модели называются также.

Ваша оценка очень важна

0
Шрифт
Фон

Помогите Вашим друзьям узнать о библиотеке

Скачать книгу

Если нет возможности читать онлайн, скачайте книгу файлом для электронной книжки и читайте офлайн.

fb2.zip txt txt.zip rtf.zip a4.pdf a6.pdf mobi.prc epub ios.epub fb3