Денис Владимирович Соломатин - Математические модели в естественнонаучном образовании. Том I стр 11.

Шрифт
Фон

Другая причина, по которой нецелочисленные значения популяции не вызывают опасения, даже если используем поштучные единицы измерения, заключается в том, что пытаемся лишь приблизительно описать размер популяции. Нет ожидания того, что модель даст точные прогнозы. Пока числа невелики, можно просто игнорировать дробные части без значительных потерь.

В таблице 1.5 видим, что популяционное значение увеличивается до пропускной способности 10, как и ожидалось. Сначала это увеличение кажется медленным, затем оно ускоряется, а затем снова замедляется. Построение значений популяции на рисунке 1.2 показывает сигмовидную картину, которая часто появляется в данных тщательно контролируемых лабораторных экспериментов, в которых популяции увеличиваются в ограниченной среде. График показывает значения популяции, связанные сегментами линий, чтобы сделать шаблон более ясным, хотя дискретные временные шаги нашей модели действительно дают популяции только в целочисленное время. Таким образом, с интуитивной точки зрения мы добились определенного прогресса; у нас есть более реалистичная модель для описания роста населения или численности выпускников физико-математических специальностей.



Рисунок 1.2. Популяционные значения из нелинейной модели.

Однако с математической точки зрения не всё так хорошо. В отличие от линейной модели, нет очевидной формулы для , которая возникала бы из составленной таблицы. На самом деле, единственный способ получить значение , по-видимому, заключается в создании таблицы с сотней записей в ней. Утратилась легкость, с которой можно было бы предсказывать будущие значения популяции.

Это то, с чем приходится мириться: хотя нелинейные модели более реалистичны, зачастую не представляется возможным получение явных формул для решения нелинейных дифференциальных уравнениях. Вместо этого используются графические методы и численные эксперименты для того, чтобы получить общее представление о поведении модели.

Первый из таких методов называется «Паутина». Паутина является основным графическим методом для понимания математической модели дискретного логистического уравнения. Это лучше всего проиллюстрировать на примере.

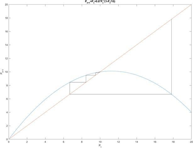
Рассмотрим еще раз модель , . Начнём с построения графика параболы, определенной уравнением, выражающим  через , а также диагональной линии , как показано на рисунке 1.3. Так как популяция начинается с , отмечаем это значение на горизонтальной оси графика. Теперь, чтобы найти , просто двигаемся вертикально вверх по графику параболы, чтобы найти точку , как показано на рисунке.

Далее хотелось бы найти , но для этого нужно отметить  на горизонтальной оси. Самый простой способ сделать это двигаться горизонтально от точки  до диагональной линии. Когда достигнем диагональной линии, окажемся в , так как сохранили ту же вторую координату, но изменили первую координату. Теперь, чтобы найти , просто двигаемся вертикально назад к параболе, чтобы найти точку . Теперь это просто вопрос повторения этих шагов навсегда: двигаться вертикально к параболе, затем горизонтально к диагональной линии, затем вертикально к параболе, затем горизонтально к диагональной линии и так далее.



Рисунок 1.3. Паутинная диаграмма нелинейной модели.

Судя по графику ясно, что если начальная популяция  лежит в диапазоне от 0 до , то модель с  и  приведёт к постоянно растущему значению популяции, которое приближается к предельному значению пропускной способности равному 10.

Если оставить те же значения  и , но положить , то паутина будет выглядеть так, как показано на рисунке 1.4.



Рисунок 1.4. Паутинная диаграмма нелинейной модели.

Действительно, становится ясным, что если  имеет значение больше, чем , то наблюдается немедленное падение численности популяции. Если такое падение окажется ниже критического, то произойдёт постепенное увеличение, приближающееся обратно к предельному значению пропускной способности модели.

Вопросы для самопроверки:

Ваша оценка очень важна

0
Шрифт
Фон

Помогите Вашим друзьям узнать о библиотеке

Скачать книгу

Если нет возможности читать онлайн, скачайте книгу файлом для электронной книжки и читайте офлайн.

fb2.zip txt txt.zip rtf.zip a4.pdf a6.pdf mobi.prc epub ios.epub fb3