Андрей Васильевич Трундов - Высокоскоростные печатные платы. Сохранение целостности электрических сигналов и электропитания стр 8.

Книгу можно купить на ЛитРес.
Всего за 200 руб. Купить полную версию
Шрифт
Фон

Индуктивность выводов фильтрующих конденсаторов снижает эффективность отвода высокочастотных составляющих спектра в опорный слой. Именно поэтому в качестве фильтрующих рекомендуется применять конденсаторы с малыми размерами выводов с расположением их на минимальном расстоянии от контактов питания микросхем, поскольку подводящие проводники увеличивают «вредную» в данном случае индуктивность выводов.


Значение напряжения на индуктивности зависит от скорости изменения тока, проходящего через нее.



Чем выше скорость изменения тока во времени (чем выше скорость изменения фронта/спада импульса), тем больше выброс напряжения в месте локального увеличения индуктивности.

Индуктивность высокоскоростных линий передачи должна быть минимальна, что означает, что высокоскоростные линии передачи должны быть выполнены максимально прямыми и не должны содержать переходных отверстий и ответвлений.


В цепях и полигонах питания на изгибах проводников, на внутренних и внешних углах полигонов, локальное увеличение индуктивности приводит к росту импеданса цепи.

При изменении силы тока в катушке (или витке провода, или изогнутом проводнике платы) в ней возникает индукционный ток, направленный против движения основного тока. Изменение тока приводит к появлению магнитного поля, которое в свою очередь создает в ней наведенный индукционный ток в противоположном направлении. Это явление называется самоиндукцией.

Проще говоря, катушка становится источником электроэнергии, если находится под действием переменного магнитного поля. Изогнутая линия передачи под действием магнитного поля, создаваемого соседними элементами или источниками, более восприимчива к действию магнитных наводок, чем прямой проводник.

Конденсатор

Конденсатор  это электрический элемент с двумя проводящими обкладками и слоем диэлектрика между ними. Основным параметром конденсатора является электрическая емкость С, определяющая возможный запас энергии электрического поля.

С = ɛ ɛ 0S/d

,где ɛ0  электрическая постоянная, ɛ  электрическая проницаемость диэлектрика между обкладками, S  площадь перекрытия обкладок, d  расстояние между обкладками


Рис. 13 Конструкция конденсатора


Конденсатор способен накапливать электрический заряд

q = CU

,где U  напряжение между обкладками конденсатора емкостью C.


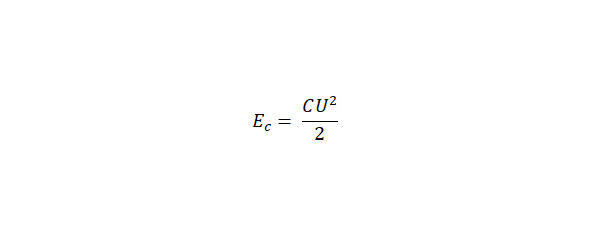
Энергия электрического поля в конденсаторе равна



Благодаря возможности накопления и хранения электрической энергии в электрических схемах конденсатор применяют в качестве накопительного элемента. Накопительный конденсатор сглаживает провалы напряжения в цепи питания при быстрых изменениях токов в нагрузках. Накопительные конденсаторы большой емкости (десятки, сотни и тысячи микрофарад) рекомендуется устанавливать рядом с выходами источников электропитания. Нет необходимости устанавливать их близко к корпусам фильтруемых микросхем, поскольку основное их назначение  не отвод высокочастотных помех в землю, а накопление энергии.

В местах повышенной индуктивности полигонов и проводников питания, где имеются сужения, острые или прямые углы, или крутые изгибы, установка конденсаторов позволяет скомпенсировать паразитную индуктивность и уменьшить импеданс цепи питания. Таким образом, можно выполнить минимизацию и «выравнивание» импеданса по поверхности печатной платы.

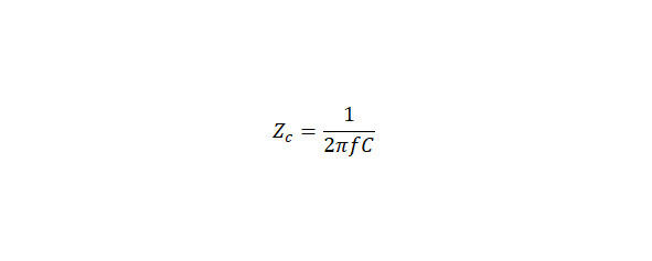
Импеданс конденсатора снижается с ростом частоты. На нулевой частоте конденсатор имеет импеданс, который стремится к бесконечности.



Поскольку конденсатор обеспечивает низкоимпедансный путь для высокочастотных составляющих спектра сигнала, в цепях питания он применяется для отвода высокочастотных составляющих в опорный слой. В этом случае его называют фильтрующим. Для фильтрации питания в широком диапазоне частот устанавливают группы конденсаторов разных номиналов и размеров. Это позволяет снизить влияние ESL и ESR (эквивалентная последовательная индуктивность и эквивалентное последовательное сопротивление соответственно) каждого из них на общую амплитудно-частотную характеристику цепи питания.

Ваша оценка очень важна

0

Дальше читают

Шрифт
Фон

Помогите Вашим друзьям узнать о библиотеке

Скачать книгу

Если нет возможности читать онлайн, скачайте книгу файлом для электронной книжки и читайте офлайн.

fb2.zip txt txt.zip rtf.zip a4.pdf a6.pdf mobi.prc epub ios.epub fb3