Ботирали Рустамович Жалолов - Все науки. 3, 2022. Международный научный журнал стр 7.

Книгу можно купить на ЛитРес.
Всего за 104 руб. Купить полную версию
Шрифт
Фон

9. Фридкин В. М. //Объемный фотовольтаический эффект в кристаллах без центра симметрии. Кристаллография. 2001. Т.46 4. С.722726.

АЛЮМИНИЕВАЯ РЕЗОНАНСНАЯ ЯДЕРНАЯ РЕАКЦИЯ

Алиев Ибратжон Хатамович


Студент 2 курса факультета математики-информатики Ферганского Госудрственного Университета


Ферганский Государственный Университет, Узбекистан

Аннотация. Развитие физики резонансных ядерных реакций, о которой неоднократно говорилось в целом ряде самых различных публикаций, становиться причиной для дальнейшего исследования применения данного метода относительно различных ядер и проведения подробных расчётов.

Ключевые слова: ядерная реакция, протон, изотоп магния, кулоновский барьер, длина волны, частицы, истинное сечение.

Annotation. The development of the physics of resonant nuclear reactions, which has been repeatedly discussed in a number of very different publications, becomes a reason for further investigation of the application of this method with respect to various nuclei and for conducting detailed calculations.

Keywords: nuclear reaction, proton, magnesium isotope, Coulomb barrier, wavelength, particles, true cross section.


Пятая ядерная реакция, исследуемая на сегодняшний день, что и придаёт ей данный коэффициент, представляется следующим образом (1).



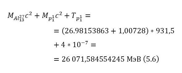
Протон с энергией в 4,457595117 МэВ и массой в 1,00728 а. е. м., налетает на алюминий-27 с атомной массой в 26,98153863 а. е. м., с выделением изотопа магния-24 с массой 23,9850417 а. е. м., а также альфа-частицы с массой 4,001506179 а. е. м.

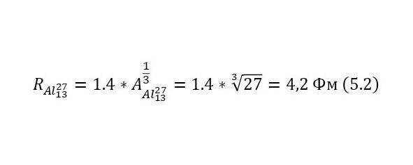
Изначально, необходимо определить, какое количество энергии затратит протон, приближаясь к ядру алюминия, а именно высоту кулоновского барьера (3), определив радиус ядра алюминия-27 в (2).




Следовательно, нынешняя энергия протона, после затраты на кулоновский барьер, составляет 0,4 эВ. Теперь, необходимо вычислить энергетический выход данной ядерной реакции, с указанными массами в (4).



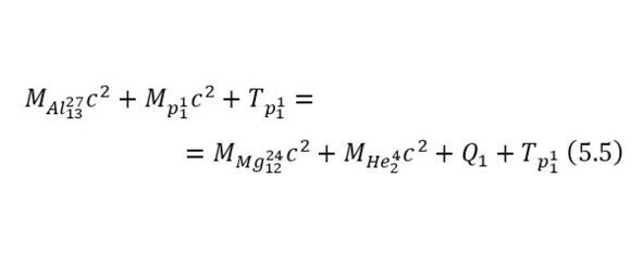
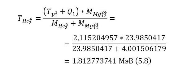
Поскольку эта реакция экзо-энергетическая, то нет смысла вычислять для неё порог реакции, остаётся лишь записать пару энергетических уравнений (56) и затем вычислить энергии, приобретаемые магнием-24 и альфа-частицей.




Из этих энергетических уравнений стало ясно, что кроме выхода реакции, добавляется и оставшаяся кинетическая энергия, благодаря чему общая энергия, распределяемая между частицами, составляет 2,115204957 МэВ из равенства (7). Теперь, для распределения этих энергий достаточно воспользоваться (8) и (9).





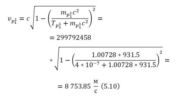
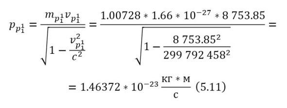
И наконец, остаётся определить сечение ядерной реакции и число взаимодействий. Изначально, необходимо вычислить длину волны налетающих протонов, для этого достаточно определить их импульс через (11), перед этим вычислив скорость в (10), а затем уже длину волны в (12).





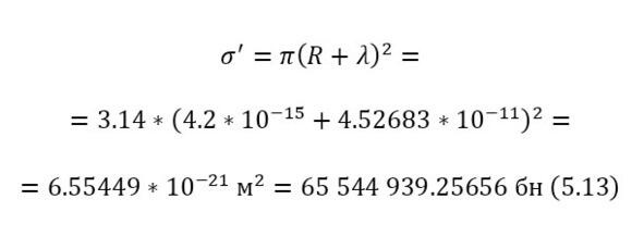
Переходя уже к исчислению сечений, достаточно воспользоваться (13), но также необходимо использование коэффициента, о котором говорилось ранее, по этой причине применяется и (14), и только после вычисляется истинное сечение (15), для некоторых подсчётов, этот коэффициент становится равным единице, поэтому просто не указывается, но в данном случае, если подсчитать таким же образом.





Теперь, когда сечение известно, для этой реакции, остаётся ввести число взаимодействий (19), перед этим вычислим число атомов на кубометр (16) и указав толщину пластины в 78 мкм, поскольку пробег протона (максимальное расстояние на котором может пройти при определённой энергии) с энергией 3 МэВ составляет это значение.



А также необходимо определить в (18) начальное число бомбардирующих протонов, указав, что их общая сила тока 25 А, а время одного акта, который вытекает уже из параметров циклотрона, описываемый в предыдущих главах составляет 328,13 нс, что гораздо больше времени даже самой долгой реакции, откуда можно вычислить заряд (17), а из него уже и число протонов (18).

Ваша оценка очень важна

0
Шрифт
Фон

Помогите Вашим друзьям узнать о библиотеке

Скачать книгу

Если нет возможности читать онлайн, скачайте книгу файлом для электронной книжки и читайте офлайн.

fb2.zip txt txt.zip rtf.zip a4.pdf a6.pdf mobi.prc epub ios.epub fb3