Сборник - Интеллектуальная энергетика стр 9.

Шрифт
Фон

Для определения коэффициентов уравнения была составлена матрица Х, включающая в себя закодированные условия эксперимента (столбцы 2-32 таблицы 2) и матрица Y, включающая в себя результаты эксперимента (столбец 33 таблицы 2). Далее матрица Х транспонируется и умножается на исходную матрицу Х, получается матрица Xт ·X. Матрица Y также умножается на транспонированную матрицу X, получается матрица Xт ·Y. Затем для матрицы Xт ·X вычисляется обратная матрица матрицы Xт·X-1. Перемножив обратную матрицу Xт ·X-1 и матрицу Xт ·Y получим матрицу коэффициентов уравнения. Аналогичные действия были проведены и для других источников. Коэффициенты уравнения представлены в таблице 3.


Таблица 3

Значения коэффициентов уравнения для источника света ULV-R24J


Подставив в уравнение регрессионной модели значение коэффициентов получим расчетные значения удельной мощности. Для проверки модели необходимо определить погрешность по следующей формуле (3):



где - относительная погрешность модели;

Э-значение, полученное экспериментальным путем

Р- значение, полученной в ходе расчетов.

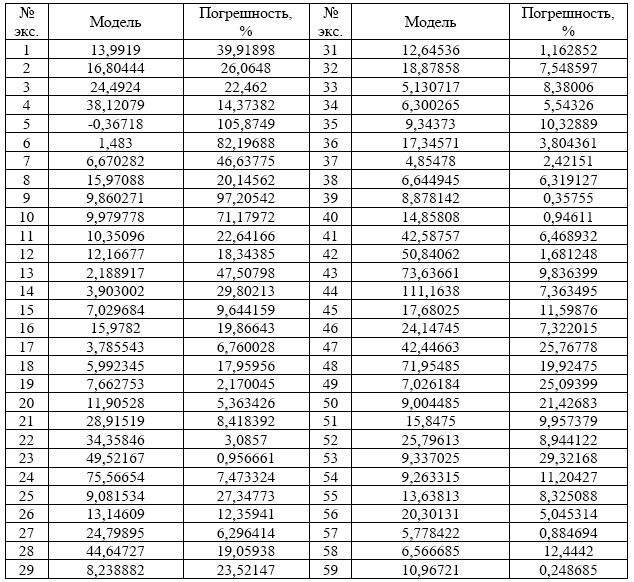
Погрешность модели представлена в таблице 4.


Таблица 4

Погрешность модели


Средняя относительная погрешность модели рассчитывается по формуле (4):


Список используемой литературы

1. СП52 13330.2016. Естественное и искусственное освещение. Общее положение: дата ведения 1996-01-01.  Москва: Стандартинформ, 2017.  135с.

Информация об авторах

Грибанов А. А.  к. т. н., доцент, Тюрина Н. А.  студент группы 8Э-01, ФГБОУ ВО «Алтайский государственный технический университет им. И. И. Ползунова», РФ, Алтайский край, г. Барнаул.

Средства повышения качества электрической энергии в магистральных электрических сетях

Белицын Игорь Владимирович, b_i_w@mail.ru

Попов Андрей Николаевич, oleandr78@mail.ru

Попов Константин Павлович, kotik5637@mail.ru


Аннотация:

Одной из важнейших задач электроэнергетики является повышение качества электрической электроэнергии. В работе произведен анализ нормативных документов регламентирующих показатели качества электрической энергии. Рассмотрены основные технические мероприятия позволяющие повысить качество электроэнергии.


Ключевые слова: качество электрической энергии, импульсные напряжения, система электроснабжения, компенсация реактивной мощности, регулирование напряжения.


MEANS OF IMPROVING THE QUALITY OF ELECTRIC ENERGY IN MAIN ELECTRIC NETWORKS


Belitsyn Igor Vladimirovich, Associate Professor, b_i_w@mail.ru

Popov Andrey Nikolaevich, oleandr78@mail.ru

Popov Konstantin Pavlovich, kotik5637@mail.ru


Abstract:

One One of the most important tasks of the electric power industry is to improve the quality of electric power. The paper analyzes the normative documents regulating the quality indicators of electric energy. The main technical measures to improve the quality of electricity are considered.


Keywords: quality of electrical energy, pulse voltages, power supply system, reactive power compensation, voltage regulation.


Снижение качества электроэнергии является неотъемлемой частью цикла производства и потребления. На всех стадиях электроэнергия претерпевает изменения, поэтому получение идеальной синусоидальной трехфазной системы напряжений задача труднореализуемая. Поэтому основной задачей является именно минимизация влияния всех ступеней электроэнергетической системы на качество энергии.

Если говорить о системе генерации, то реализация задачи повышения качества упирается в совершенствование конкретных силовых машин, а именно генераторов, более точная подгонка деталей, использование новых магнитных материалов, работа с системами стабилизации генераторов, по типу АРВ, во время возникновения крупных аварий.

Поэтому еще на стадии генерации мы получаем синусоиду отличную от идеально, но наибольшее искажение электроэнергия претерпевает именно в системах передачи, распределения и потребления. Большая часть энергии просто теряется в линиях электропередач, переходя в тепло, а форма кривой напряжения искажается нагрузкой.

Все это негативно сказывается на системе в целом, и на потребителях этой самой энергии в первую очередь.

В понятие качества электроэнергии входит большое количество параметров, которые регламентируются стандартами ГОСТ 32144-2013.


К параметрам качества электроэнергии относят:

 Отклонение частоты;

Ваша оценка очень важна

0
Шрифт
Фон

Помогите Вашим друзьям узнать о библиотеке

Скачать книгу

Если нет возможности читать онлайн, скачайте книгу файлом для электронной книжки и читайте офлайн.

fb2.zip txt txt.zip rtf.zip a4.pdf a6.pdf mobi.prc epub ios.epub fb3