Сборник - Интеллектуальная энергетика стр 8.

Шрифт
Фон

Тюрина Наталья Александровна, turinanatalie@yandex.ru

Грибанов Алексей Александрович, diread@mail.ru


Аннотация:

В статье подробно рассмотрен метод регрессионного моделирования для формирования математической модели расчета для последующего расчета удельной мощности для проектирования освещения в помещениях промышленного и общественного назначений. Также в статье представлен подробный расчет относительной погрешности модели.


Ключевые слова: метод удельной мощности, математическая модель, регрессионное моделирование, освещенность, источники света.


Расчет электрических нагрузок является основополагающим этапом проектирования систем электроснабжения. Электрические нагрузки подразделяются на силовые и осветительные. На сегодняшний день существуют три наиболее популярных метода расчета осветительных нагрузок: метод удельной мощности, точечный метод, метод коэффициента использования. Метод удельной мощности наиболее часто используется проектировщиками для приближенного расчета мощности осветительного оборудования, отличается простотой использования и сравнительно малым объемом исходных данных, что значительно расширяет круг его использования. Значения удельной мощности были получены в середине двадцатого столетия и, к сожалению, их использование для современных светодиодных и люминесцентных источников некорректно[1]. В ходе эксперимента мною были получены актуальные значения для таких источников.

В рамках исследования было проведено 830 экспериментов путем расчета в среде Dialux evo, рассмотрено 29 расчетных случаев. Расчетный случай это помещение общественного и промышленного назначения, для которых определялись нормируемая освещенность, высота подвеса источников света, площадь. Помимо этого, для каждого расчетного случая было отобрано 6 источников света. Всего в эксперименте участвовало 49 источников света.

В ходе исследования были получены математические модели, для каждой из которых посчитаны относительная погрешность источника света и относительная погрешность для расчетного случая. Значения относительных погрешностей лежат в допустимом диапазоне, что позволяет в дальнейшем рассчитывать мощность источников света для проектирования освещения в помещениях промышленного и общественного назначений для входных параметров, не участвовавших в эксперименте.


Общий вид математической модели (1):

=4+4+3+3+3+3+3+

3+2+2+2+2+22+22+22+

2+2+2+2+2+2+2+

2++++++γ++

(1)


где значение удельной мощности осветительной нагрузки на единицу площади помещения, Вт/м2;


a, b, c, d, e, f, g, h, i, j,k, l, m, n, o, p, q, r, s, t, u, v, w, x, y, z, ,,γ,, коэффициенты регрессионного уравнения, которые необходимо определить.

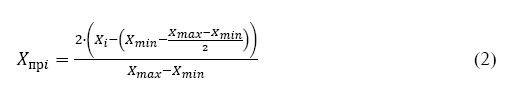
Для определения значения уровня варьирования применялась следующая формула (2):



где пр значение параметра, приведённое к шкале от 1 до +1;

текущее значение параметра, абс. ед.;

максимальное значение параметра, абс. ед.;

минимальное значение параметра, абс. ед.

Уровни варьирования для использовавшихся в экспериментах параметров ниже приведены в таблице 1.


Таблица 1

Уровни варьирования параметров



Для определения коэффициентов уравнения приведем результаты расчётного эксперимента к табличному виду. В дальнейших таблицах для упрощения введён параметр X0=1, соответствующий свободной переменной, перед которой стоит коэффициент.

Данные эксперимента для источника света ULV-R24J представлены в таблице 2.


Таблица 2

Таблица эксперимента для источника света ULV-R24J








Для определения коэффициентов уравнения была составлена матрица Х, включающая в себя закодированные условия эксперимента (столбцы 2-32 таблицы 2) и матрица Y, включающая в себя результаты эксперимента (столбец 33 таблицы 2). Далее матрица Х транспонируется и умножается на исходную матрицу Х, получается матрица Xт ·X. Матрица Y также умножается на транспонированную матрицу X, получается матрица Xт ·Y. Затем для матрицы Xт ·X вычисляется обратная матрица матрицы Xт·X-1. Перемножив обратную матрицу Xт ·X-1 и матрицу Xт ·Y получим матрицу коэффициентов уравнения. Аналогичные действия были проведены и для других источников. Коэффициенты уравнения представлены в таблице 3.

Ваша оценка очень важна

0
Шрифт
Фон

Помогите Вашим друзьям узнать о библиотеке

Скачать книгу

Если нет возможности читать онлайн, скачайте книгу файлом для электронной книжки и читайте офлайн.

fb2.zip txt txt.zip rtf.zip a4.pdf a6.pdf mobi.prc epub ios.epub fb3