Юревич Андрей Владиславович - Социальная психология знания стр 12.

Шрифт
Фон

[4]


Если количество товара, проданного бизнесменом i, обозначить как Qi(t), а совокупный размер сбережений у потребителя j в момент времени t ICj(t), то динамика параметров модели частично описывается совокупностью соотношений (1) (4).



Количество проданного бизнесменом i товара ограничено количеством товара, который был произведен:



Здесь в правой части представлена производственная функция Кобба Дугласа с коэффициентами эластичности по труду и по капиталу, равными ½. Номер самого малообеспеченного индивида из купивших товар i определяется как



Накопленные средства работника j изменяются согласно правилу



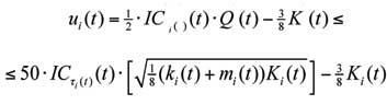
Прибыль бизнесмена i в момент t равна



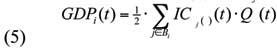
Совокупный ВВП страны i GDPi(t) в момент времени t определяется суммарной стоимостью проданного товара и равен



Основной процесс выполнения алгоритма (рисунок 1) определяется последовательным повторением процедур найма бизнесменами работников для производства товаров (реализации выбранных бизнесменами задач), выплаты зарплаты работникам после выпуска товара в соответствии с ценностью их должности и продажи товаров на рынке. Деньги от продажи товаров используются бизнесменами для производства следующей партии. Каждый тип товара (реализованной задачи) характеризуется уровнем качества zi(t), зависимым от компетентности работников, выполнивших данную работу. ВВП на душу населения на каждом временном такте определяется как Di = GDPi/|Ei Bi| (суммарная стоимость проданного товара в стране i, разделенная на число индивидов в данной стране). Далее, поскольку величина |Ei Bi| остается постоянной для всех стран, то величины GDPi и Di всегда отличаются в фиксированное число раз. Значит, все результаты измерений для GDPi иллюстрируют соотношение значений Di в имитационной модели.


Рис. 1. Схема имитационной модели


Подробное описание алгоритма можно найти в конце книги, в Приложении. Далее остановимся на формализации понятия задачи, качества товара и рассмотрим ограничение сверху на ВВП в стране.


Формализация задач, типы задач

Предположим, что для реализации задачи tki(t) необходимо n специалистов. Будем считать, что успешность решения задачи (или уровень качества продукта) зависит только от квалификации решающих ее специалистов (работников), которая оценена числами: x1, , xn, xj 0, j {1, , n}. Тогда успешность решения задачи (или качество произведенного продукта) задается в виде функции z = ftk(x1, , 'xn) от компетентностей принятых специалистов и представима в виде:


(6) z = g(x1, , xr)·I(xr+1, , xn), 1 r n,


где: g(x1, , xr)  уровень качества продукта (потенциально неограниченный сверху), обеспеченного людьми, занимающимися задачами открытого типа успешности (Ушаков, 2011), функция монотонна по каждой из своих переменных; x1, , xr компетентности людей, назначенных на задачи открытого типа, xj 0, j {1, , r}; I (xr+1, , xn)  уровень качества продукта (потенциально ограниченный сверху Imax), обеспеченного людьми, занимающимися задачами порогового (закрытого) типа успешности (там же), функция монотонна по каждой из своих переменных; xr+1, , xn компетентности людей, назначенных на задачи порогового типа, xj 0, j {r + 1, , n}.

Если в (6) r = 0, то z = I (x1, , xn). То есть эта задача требует только выполнения работ закрытого типа. Если же в (6) r = n, то z = g(x1, , xn). То есть эта задача требует только выполнения работ открытого типа.

Ваша оценка очень важна

0
Шрифт
Фон

Помогите Вашим друзьям узнать о библиотеке

Скачать книгу

Если нет возможности читать онлайн, скачайте книгу файлом для электронной книжки и читайте офлайн.

fb2.zip txt txt.zip rtf.zip a4.pdf a6.pdf mobi.prc epub ios.epub fb3