Валерий Абдуллович Асадов - Физика (Третья) 21 века. Том 1 стр 11.

Книгу можно купить на ЛитРес.
Всего за 51.9 руб. Купить полную версию
Шрифт
Фон

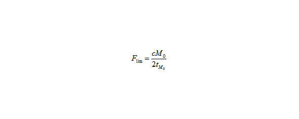
(24) скорость света, деленную на удвоенный возраст Вселенный. То получим формулу Силовое соотношение (17).


Рис. 15. Формула Силового соотношения (17).


Возьмем предел силы из статьи «Предел силы» (18)


Рис. 16. Формула Предела силы (18)


и соединим эти две формулы в одну  (20),


Рис. 17. Формула 20.


Рис. 18. Первое космологическое соотношение. формулу (3)


а также возьмем формулу (3),


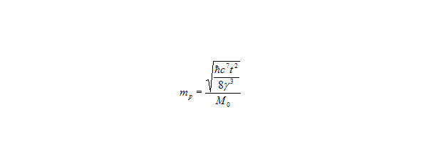
Рис. 19. формулу планкеона (21). Привлеченная.


и формулу планкеона (21).

Соединим и подставим, то получим формулу (10).


Рис. 20. формулу (10).


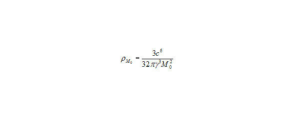
Где, как и говорилось, что масса Вселенной зависит от массы протона, чем больше уменьшается масса протона, тем больше увеличивается масса Вселенной. Если использовать мысль Дирака о том, что количество протонов N=Mo/Mp (18) то получим. То есть, зная массу протона в нужном нам времени возраста Вселенной, мы всегда можем вычислить количество протонов во всей нашей Вселенной в это нужное нам время. Если возьмем формулу Ньютона


Рис. 21. формулу Ньютона.


Рис. 22.


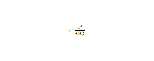
и формулы (13), (), то получим формулу абсолютного ускорения (15).


Рис. 23. формулу абсолютного ускорения (15).


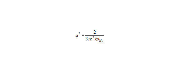
А если вместо массы подставим первое космологическое соотношение (3),


Рис. 24. первое космологическое соотношение (3),


то получим (16)  абсолютное ускорение, выраженное через плотность Вселенной.


Рис. 25. Формула абсолютного ускорения, выраженное через плотность Вселенной.


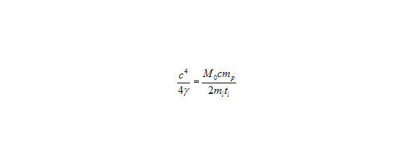
Время рождения Вселенной получаем, если в формулу (6)


Рис. 26. Четвертое космологическое соотношение. Формула (6)


подставим массу планкеона (21), то получим


Рис. 27. массу планкеона (21),

Ваша оценка очень важна

0

Дальше читают

Шрифт
Фон

Помогите Вашим друзьям узнать о библиотеке

Скачать книгу

Если нет возможности читать онлайн, скачайте книгу файлом для электронной книжки и читайте офлайн.

fb2.zip txt txt.zip rtf.zip a4.pdf a6.pdf mobi.prc epub ios.epub fb3