Евгений Алексеевич Тихомиров - Космология внеземных цивилизаций. Серия: физика высокоразвитой цивилизации стр 6.

Книгу можно купить на ЛитРес.
Всего за 249 руб. Купить полную версию
Шрифт
Фон

Св. Августин утверждал, что время это свойство вселенной, которое появилось вместе с ней самой. Поскольку однозначного научного объяснения такого парадокса не существует, Георгий Гамов предложил называть Августинской эпохой состояние Вселенной «до» и «в момент» Большого Взрыва. Такое состояние часто называется нулевой точкой или космологической сингулярностью».

Святой Августин это конечно большой авторитет по всем вопросам и по времени особенно, тем более что он что-то там утверждал. Но почему Георгий Гамов не послушал другого авторитета Иммануила Канта, который утверждал довольно обоснованно, что время не физическое понятие, а придумано человеком, в основном для занятия наукой. Здесь Кант немного перебарщивает, конечно. Время придумано человеком не только для занятия наукой, но и для того, чтобы знать, когда вставать и когда спать ложиться, когда обедать и когда работать, то есть «время» человек придумал для своего удобства. Кроме того, этот кусок текста говорит о том, что писал его человек, начисто отравленный математическим формализмом, так как пишет, что вначале вселенная имела бесконечную плотность и бесконечную температуру. Настоящий физик не должен писать такого. Правда писатель этот ссылается на физическую теорию Общую теорию относительности, она, мол, имеет такую предсказательную способность в точке, когда время равно нулю. Но по нашему мнению, из-за плохой предсказательной способности Общей теории относительности Хокингу надо было посчитать её несостоятельной, а не городить на её основе одну нелепость на другую и не умножать бесконечную плотность на бесконечную температуру.

В дальнейшем мы увидим, что теория горячей вселенной войдёт в неразрешимое противоречие с возможной физикой природы и ведёт к парадоксу.

Продолжим цитировать Википедию. «Первые три минуты. Первичный нуклеосинтез Основные ядерные реакции на этапе первичногонуклеосинтеза.

Предположительно, с начала рождения (или по крайне мере с конца инфляционной стадии) и в течение времени, пока температура остаётся не ниже 1016 ГэВ (1010 с), присутствуют все известные элементарные частицы, причём все они не имеют массы. Этот период называется периодом Великого объединения, когда электрослабое и сильное взаимодействия едины.

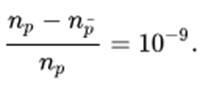
На данный момент невозможно сказать, какие же именно частицы присутствуют в тот момент, но кое-что всё же известно. Величина η является показателем энтропии, а также характеризует избыток частиц над античастицами:



В момент, когда температура опускается ниже 1015 ГэВ, вероятно, выделяются X- и Y-бозоны с соответствующими массами.

Эпоху Великого объединения сменяет эпоха электрослабого объединения, когда электромагнитное и слабое взаимодействия представляют единое целое. В эту эпоху идет аннигиляция X- и Y-бозонов. В момент, когда температура понижается до 100 ГэВ, эпоха электрослабого объединения заканчивается, образуются кварки, лептоны и промежуточные бозоны.

Настаёт адронная эра, эра активного рождения и аннигиляции адронов и лептонов. В эту эпоху примечателен момент кварк-адронного перехода или момент конфайнмента кварков, когда стало возможным слияние кварков в адроны. В этот момент температура равна 3001000 МэВ, а время от рождения Вселенной составляет 106 с.

Эпохе адронной эры наследует лептонная эра в момент, когда температура падает до уровня 100 МэВ, а на часах 104 с. В эту эпоху состав Вселенной начинает походить на современный; основные частицы это фотоны, помимо них есть только электроны и нейтрино со своими античастицами, а также протоны и нейтроны. В этот период происходит одно важное событие: вещество становится прозрачным для нейтрино. Возникает что-то наподобие реликтового фона, но для нейтрино. Но так как отделение нейтрино произошло раньше отделения фотонов, когда некоторые виды частиц ещё не проаннигилировали, отдав свою энергию остальным, то и остыли они больше. К настоящему времени нейтринный газ должен был остыть до 1,9 К, если нейтрино не имеют массы (или их массы пренебрежимо малы).

При температуре Т0,7 МэВ термодинамическое равновесие между протонами и нейтронами, существовавшее до этого, нарушается и отношение концентрации нейтронов и протонов застывает на значении 0,19. Начинается синтез ядер дейтерия, гелия, лития. Спустя ~200 секунд после рождения Вселенной температура падает до значений, при которых нуклеосинтез более невозможен, и химический состав вещества остаётся неизменным до момента рождения первых звёзд».

Ваша оценка очень важна

0
Шрифт
Фон

Помогите Вашим друзьям узнать о библиотеке

Скачать книгу

Если нет возможности читать онлайн, скачайте книгу файлом для электронной книжки и читайте офлайн.

fb2.zip txt txt.zip rtf.zip a4.pdf a6.pdf mobi.prc epub ios.epub fb3