Евгений Алексеевич Тихомиров - Космология внеземных цивилизаций. Серия: физика высокоразвитой цивилизации стр 5.

Книгу можно купить на ЛитРес.
Всего за 249 руб. Купить полную версию
Шрифт
Фон

Для подобной модели интервал между двумя событиями записывается следующим образом:



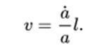
где dR² описывает геометрические свойства пространства модели и является метрикой трёхмерного изотропного и однородного пространства: плоского при k=0, сферического при k=1 и гиперболического при k=1. В таких системах координат скорость изменения физического расстояния l между двумя точками, покоящимися в сопутствующей системе координат, равна:



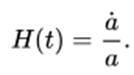
Это не что иное, как закон Хаббла, где параметр Хаббла есть меняющаяся от времени величина:



Если теперь подставить это выражение в уравнение энергии и привести значения, приходим к выражению:



где Ωm=8πGρ/3H2 , Ωk = -(kc2)/(a2H2) , ΩΛ=(Λc2)/(3H2)».

Всё это хорошо и возможно так бы и было, если бы пространство действительно имело кривизну. Однако по сведениям предоставленными нам высокоразвитой цивилизацией пространство не изгибается, не является вещественным, и не имеет структуры. Пространство всего лишь трёхмерно, поэтому «время» не является физическим понятием, а придумано человеком. Время это просто счётчик для нашего удобства. Поэтому весь вышеприведённый кусок текста из Википедии является математическим шаманством с несуществующими физическими величинами и ничего не выражает физически. Здесь мы видим, что учёные сами придумывают природные феномены (структурное пространство и изменяемое время) а потом привязывают к ним математические модели.

Продолжим цитировать Википедию. «Инфляционное расширение

Большой взрыв

Согласно теории Большого взрыва, Вселенная в момент образования была в чрезвычайно плотном и горячем состоянии, называемом космологической сингулярностью

Большо́й взрыв (англ. Big Bang) космологическая модель, описывающая раннее развитие Вселенной, а именно начало расширения Вселенной, перед которым Вселенная находилась в сингулярном состоянии.

Обычно сейчас автоматически сочетают теорию Большого взрыва и модель горячей Вселенной, но эти концепции независимы и исторически существовало также представление о холодной начальной Вселенной вблизи Большого взрыва. Именно сочетание теории Большого взрыва с теорией горячей Вселенной, подкрепляемое существованием реликтового излучения, и рассматривается далее.

Космологическая сингулярность

Космологическая сингулярность состояние Вселенной в начальный момент Большого Взрыва, характеризующееся бесконечной плотностью и температурой вещества. Космологическая сингулярность является одним из примеров гравитационных сингулярностей, предсказываемых общей теорией относительности (ОТО) и некоторыми другими теориями гравитации.

Возникновение этой сингулярности при продолжении назад во времени любого решения ОТО, описывающего динамику расширения Вселенной, было строго доказано в 1967 году Стивеном Хокингом. Также он писал:

«Результаты наших наблюдений подтверждают предположение о том, что Вселенная возникла в определённый момент времени. Однако сам момент начала творения, сингулярность, не подчиняется ни одному из известных законов физики».

Например, не могут быть одновременно бесконечными плотность и температура, так как при бесконечной плотности мера хаоса стремится к нулю, что не может совмещаться с бесконечной температурой. Проблема существования космологической сингулярности является одной из наиболее серьёзных проблем физической космологии. Дело в том, что никакие наши сведения о том, что произошло после Большого Взрыва, не могут дать нам никакой информации о том, что происходило до этого.

Попытки решения проблемы существования этой сингулярности идут в нескольких направлениях: во-первых, считается, что квантовая гравитация даст описание динамики гравитационного поля, свободного от сингулярностей, во-вторых, есть мнение, что учёт квантовых эффектов в негравитационных полях может нарушить условие энергодоминантности, на котором базируется доказательство Хокинга, в-третьих, предлагаются такие модифицированные теории гравитации, в которых сингулярность не возникает, так как предельно сжатое вещество начинает расталкиваться гравитационными силами (так называемое гравитационное отталкивание), а не притягиваться друг к другу.

Ваша оценка очень важна

0
Шрифт
Фон

Помогите Вашим друзьям узнать о библиотеке

Скачать книгу

Если нет возможности читать онлайн, скачайте книгу файлом для электронной книжки и читайте офлайн.

fb2.zip txt txt.zip rtf.zip a4.pdf a6.pdf mobi.prc epub ios.epub fb3