Пётр Иванович Акованцев - Вселенная  форма жизни Бога. Теория Всего стр 8.

Книгу можно купить на ЛитРес.
Всего за 51.9 руб. Купить полную версию
Шрифт
Фон

Рассмотрим ситуацию с гравитацией.

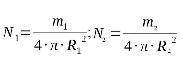
Возьмем две массы m1> m2 излучающие СВЕТ Ф1> Ф2

Каждая масса будет концентрировать вокруг себя гравитационные потоки, плотность которых будет равна:



Рис.20 Равенство двух Эфирных потоков в точке О


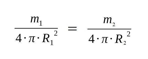
В некоторой точке О плотность гравитационных потоков будет равна:




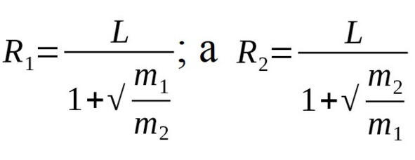
тогда, если расстояние между массами L, то



Отсюда силу взаимодействия двух масс можно определить по формуле:




где: SВ  площадь взаимодействия двух масс.

gB  ускорение в точке равенства гравитационных потоков.

Поэтому классическая формула неверна в своей основе. Предполагается, что гравитационное поле формирует масса, а фактически поле формирует СВЕТОВОЙ поток. Коэффициент пропорциональности уточняет силу взаимодействия, т.к. большая масса излучает и больший световой поток. Поэтому у тел, практически отсутствует гравитационное взаимодействие, т.к. световые потоки излучаемые ими очень не значительны.

Рассмотрим пример: Рис.21


Рис. 21 Взаимодействие Земли и Солнца


L= 150 000 000 км.

mc=342 000mз

то: R1 будет равен примерно 256 000 км

Удвоенная сила взаимодействия будет формироваться за счет массы земли, Рис.22.


Рис. 22 Формирование силы гравитационного воздействия на тело


Солнце через Землю перекачивает Эфир. За счет того, что Эфир увлекает своим движением Землю в сторону Солнца, происходит смещение Земли в сторону Солнца, возникает ощущение притяжения Земли Солнцем. Аналогично происходит и с Луной.

Гравитация  поток Эфира и не только. Именно из Эфира сформированы электроны, протоны и нейтроны  основа современной материи. Эфир, аннигилируя в недрах звёзд и планет, переходит в другое агрегатное состояние-СВЕТ, что и является источником энергии звёзд. Именно в этом причина того, что недра планет раскалены. Эфирные потоки внутри вещества формируют межатомные и межмолекулярные связи.

Если мы в точку равенства гравитационных потоков Солнца и Земли, поместим материальный объект, допустим Луну, и если центр тяжести Луны постоянно будет находиться на линии соединяющей центры тяжести Солнца и Земли, то Луна никогда не упадет на землю. Даже если мы приложим к луне силу, что бы приблизить её к земле, то чем ближе к Земле мы будем приближать Луну, то тем большее усилие мы будем прилагать. Нам будет казаться, что взаимодействие Луны с Солнцем будет увеличиваться, а Луны с Землей уменьшаться. В действительности это не так, просто чем ближе к Земле будет Луна, тем более плотный поток между Землей и Солнцем будет на неё действовать, и соответственно, более плотный поток рождает и большую силу.

Разломы и сдвиги земной коры по разломам, провоцирует гравитационное взаимодействие Земли с Солнцем и Луной. И если гравитационное взаимодействие с Солнцем выгибает земную кору от центра Земли, то взаимодействие с Луной, наоборот, прижимает земную кору к центру Земли. Земная кора постоянно деформируется и за миллионы лет сформировались тектонические разломы земной коры.


Рис. 23 Гравитационное взаимодействие Земли с Луной и Солнцем


Поэтому при Солнечном затмении практически всегда происходят землетрясения.


Теперь нужно разобраться, как же движутся встречные потоки СВЕТА и Эфира.

Свет движется от солнца в двух направлениях (по винтовой конусной траектории и сам конус вращается), за счёт этого и нагнетается Эфир к центру звёзд, в приделах определенного телесного угла.


Рис.24 СВЕТОЭфирный поток

В гравитационном поле Земли таких потоков, вероятно, тысячи. Из таких потоков это поле и состоит.


Как видно из Рис. 24 потоки СВЕТА и Эфира не оказывают воздействие друг на друга. Чем ближе к материальному объекту, тем выше плотность СВЕТА и Эфира. Основная задача звезд Вселенной переработать Эфир в СВЕТ. И этот процесс носит название аннигиляция.

Ваша оценка очень важна

0
Шрифт
Фон

Помогите Вашим друзьям узнать о библиотеке

Скачать книгу

Если нет возможности читать онлайн, скачайте книгу файлом для электронной книжки и читайте офлайн.

fb2.zip txt txt.zip rtf.zip a4.pdf a6.pdf mobi.prc epub ios.epub fb3