Пётр Иванович Акованцев - Вселенная  форма жизни Бога. Теория Всего стр 7.

Книгу можно купить на ЛитРес.
Всего за 51.9 руб. Купить полную версию
Шрифт
Фон

который выполняет важную роль в становлении гравитационных полей звёзд и планет. Своими СВЕТОВЫМИ потоками он нагнетает Эфир в свои недра, но по мере прохождения через галактику, Эфир питает новорождённые звёзды и планеты, помогая становлению их гравитационных полей. Наступает момент, когда практически весь Эфир, по мере движения к квазару, поглощается звёздами и планетами, поэтому квазар угасает. Именно поэтому жизнь квазара коротка. От квазара, в центре галактики, остаётся шаровая область заполненная СВЕТОМ. Она ничего не излучает и поэтому не видна.

Ранее было известно, что гравитация  это сила, с которой все материальные объекты взаимодействуют друг с другом. Сила взаимодействия всемирного тяготения была И. Ньютоном выражена формулой:



Однако не была открыта природа гравитации, и до настоящего времени никто представления не имеет о самой природе гравитации.

Мною теоретически обоснована научная идея о том, что гравитация, не что иное, как поток Эфира к центрам планет и звёзд, где он переходит в другое агрегатное состояние-СВЕТ и СВЕТ двигаясь от центра, вихревым конусным потоком, нагнетает Эфир к центру, звёзд и планет.

Научные значения данной идеи заключаются в том, что она полностью меняет представление о окружающем нас мире и Вселенной. Благодаря данной научной идее можно объяснить формирование плазменного кристалла, который был получен на орбитальной станции «Мир» в течении восьмилетнего эксперимента, потерю мышечной массы космонавтов, находящихся длительное время на орбите, создать новую теорию возникновения вселенной, в основе которой будет не материя, а сознание. Она позволит нам отказаться от большого взрыва и даст возможность заглянуть в начало начал.

Благодаря данному открытию, можно будет практически со 100% вероятностью, просчитать возникновение землетрясений, возможно даже за несколько суток до их начала. Разработать новые технологии и т. д. и т. п.


Гравитация-процесс нагнетания Эфира в недра планет и звёзд СВЕТОВЫМИ потоками. СВЕТОЭфирный поток это джет. Из множества таких джетов состоит гравитационное поле Земли. Свет нагнетает Эфир в недра, а движущийся в недра Эфир приталкивает тела к поверхности Земли. Вещество в недрах переводит Эфир в СВЕТ. Далее СВЕТ излучается и процесс будет продолжатся до тех пор пока весь Эфир не перейдёт в СВЕТ.


Доказано, что звезды излучают энергию в окружающее пространство в виде Света (в данном случае под Светом подразумевается только видимое излучение, которое является другим агрегатным состоянием Эфира.)

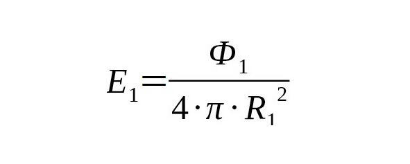
Как известно, освещенность



Где: Ф  световой поток. Чем дальше находится от источника света, тем меньший световой поток приходится на единицу площади. Наука утверждает, что сила света,



из чего следует, что сила света не зависит от расстояния до источника света. Так ли это? Рассмотрим это на примере: см. Рис. 18


Рис. 18 Световой поток в зависимости от расстояния


По данной формуле мы имеем: J1=J2=J3.

Но это справедливо лишь только в том случае, если мы соберем световой поток со всей площади. Однако S1 <S2 <S3, значит ΔФ1> ΔФ2> ΔФ3 приходящийся на единицу площади.

Если S1 <S2 <S3, то J1> J2> J3.

И чем дальше от источника света, тем меньше светового потока приходится на единицу площади, соответственно, чем дальше от источника света, тем сила света меньше. Значит: J=E · S.

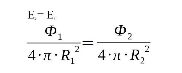
Рассмотрим два источника света, световые потоки которых известны и Ф1> Ф2.

Освещенность от первого источника:



от второго:



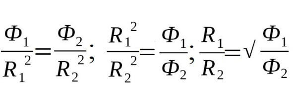
Равенство освещенности от Ф1 и Ф2 будет в некоторой точке О.



Рис. 19 Равенство двух световых потоков в точке О



Если будет известно расстояние между источниками света L, то R1=L-R2, отсюда

Ваша оценка очень важна

0
Шрифт
Фон

Помогите Вашим друзьям узнать о библиотеке

Скачать книгу

Если нет возможности читать онлайн, скачайте книгу файлом для электронной книжки и читайте офлайн.

fb2.zip txt txt.zip rtf.zip a4.pdf a6.pdf mobi.prc epub ios.epub fb3