Артур Викторович Шевененов - Истопись. Eistopeis стр 12.

Шрифт
Фон

Коль скоро всякая аксиоматизация чревата наличием формул-положений недоказуемых и неопровержимых, или из коих может следовать что угодно (признаваемы истинными/ложными в рамках собственных положений-конвенций), уж не беремся здесь судить, сводимы ли подобные недедуцируемые изнутри к кантовым «вещам-в-себе» (именую таковые ansein),  не то же ли переносимо на самый научный метод позитивизма, изнутри себя порождающий не только обобщения ошибок обоих типов, но и угрозу себе, или же необходимость перехода к чему-то более полному?

Как человек ищущий, неравнодушный, не вмещаюсь в прокрустово ложе благостных пожеланий: сперва-де «защитись», затем освободишься от ига мониторинга  этой инквизиторской проверки на лояльность. Зачем проверять то, чему не бывать? Я не лоялен ветхому, косному, неполному. Не могу запретить себе думать (а философико-математическим творчеством занимаюсь независимо от наличия литературы) прежде, нежели ознакомлюсь со «всем, что было».

Наследие Геделя да не сведется к взаимодействию с натурализационным клерком для пропуска в клуб.

Если же омега реализуется как индекс в (2*), то и здесь занятна адамическая связь, образующаяся вокруг старославянского «варъ» (лаг или, вернее, lead, как в слове «предварять»). Изначально коннотируя разброс,  восстановимое гипотетически до некоего *ъwъrъ/HwHrH,  вновь и вновь полнит массив внешне розных основ, объединяемых вокруг heury!

С одной стороны, эта тема также отсылает к феномену диофантовости и рекурсий, возникающим из изучения геделевости. Но ведь мы не раз уж наблюдали, что то и другое, сводимое к функциональным уравнениям, реализует простоту-полноту тем, как из тривиального и частного извлекает нелинейное и общее.

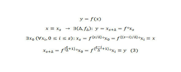
Дабы не быть голословными, проиллюстрируем простейшим случаем явной функции для двух неизвестных, во многом сводимой и к неявной функции обоих. В известном смысле, применяемый трюк подразумевает лаг-параметризацию.


Сет 3: лаг-параметризация


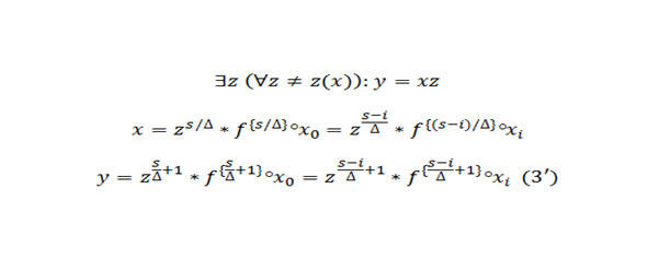
Теперь, как некое обобщение (3) вводом экзогенного параметра или переменного, получаем (3*).


Сет 3*: дополнительного параметра ввод


Показатель функциональной композиции в решении-как-редукции диофантовой структуры (характеристические степени, вообще нецелые и даже вещественные, как и в случае с ро), еще пригодятся при разработке как исчисления резидульности, так и кванторов теории справедливости (деонтологики).

Задним числом видится, что геделева критика вроде как подтверждает максиму римского права: никто сам себе (в своем деле) не судья (nemo iudex in re/causa sua). И не могла не подразумевать потенциальной необходимости перехода  уровнем выше. Но здесь я, кажется, встречаюсь и с Платоном (переход к высшим /в/эйдосам), и с самим собой (где и разные системы как полноты способны проницать друг друга просто, не поэлементно)! Хоть и шли к стыку совсем разными путями, причем здесь я не склонен погружать читателя в детали того, что всему предшествовало, но теперь выглядит так, будто явилось венцом или требует ссылок на иноведение, причем ссылок отдельных и частных.

Кажется, здесь лишний раз приходим к ранее упоминаемой мета-формуле: «ни, ни=и, и». И к автоморфности как едва ли не единственно достаточной необходимости (альтернативной позитивизму в своем слабом отсечении кандидат-систем неблагонадежных), гарантии от невозможности ни опровержению подвергнуться, ни доказать самое себя (либо от обреченности на самоопровержение, непреодолимое внутреннее противоречие, неопределенно-бессодержательную податливость многому).

Гибкие системы отсчета и жесткая к ним привязка

Несоблюдение необходимого как фактор репугнантности

Двойные, тройные, множественные и, более общо, гибко-подвижные, манипулируемые стандарты лежат в основании как хаотизации, так и подавления. Причем первое нередко выступает тем, что мобилизует на войну и революцию против своего, изнутреннего, тогда как последнее  ровно то, что под лозунгами свободы стерилизует всякую альтернативу и противление извне приходящему.

В ходе оценивания выступления спортсменов внушаемые рефери и их подвижные референт-фильтры обнаруживают ровно тот же «парадокс» и ту же ловушку, что имеет место на экзит-поллах и предварительных «замерах» общественных настроений: различные службы или методики, даже предположительно добросовестные пополам с менее выверенными, разнятся в оценках, тогда как по результатам выборов картина должна предстать однозначной. Это подобно тому, как апостериорная вероятность тождественно единична либо нулева (так сказать, «чистая» стратегия в игре с системным или случайным игроком) независимо от Бейес-обновлений и априорных начальных условий, природы распределений или предположений о таковой. Но именно на основании разброда в предварительных оценках обнаруживается потенциал для манипулирования, брожения, хаотизации  с требованием пересмотреть, переголосовать, переиграть, пересудить, а то и «пересажать».

Ваша оценка очень важна

0
Шрифт
Фон

Помогите Вашим друзьям узнать о библиотеке

Скачать книгу

Если нет возможности читать онлайн, скачайте книгу файлом для электронной книжки и читайте офлайн.

fb2.zip txt txt.zip rtf.zip a4.pdf a6.pdf mobi.prc epub ios.epub fb3