Артур Викторович Шевененов - Истопись. Eistopeis стр 10.

Шрифт
Фон

Расставить: и точки, и объекты-связи по местам

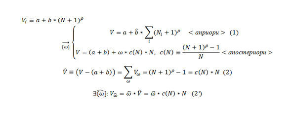
Что же усвоили мы из предыдущего, промежуточно-основополагающего изложения той же, скажем, Теории Б? Само присутствие/необходимость выбора (омега-распределения  как лотереи ли, некоей взвеси путей или иного опциона) не только преображает его структуру, но вполне опрощает и природу. Так, суммированием либо взвесью сетеподобных концепций стоимости, являющихся аффинным расширением функций вроде Кобба-Дагласа (учитывающих как эффект масштаба, так и риск-предпочтения в едином показательном параметре) сперва получаем CES-обобщение (1) (без указания конкретики отношений или реализации структур и связей), которое тотчас предстает в эффективно простейшем свете: сильной субститутивности (2), что в худших режимах среды (усугубления ограниченности, возникновения коллективных угроз и пр.) оборачивается комплементарностью, или синхронизацией и как бы апостериорной сродностью в средствах (при ином CES-потенциале целей, ценностей, интересов). Первое (заместительность) в сущности роднит структуру апостериорного выбора с изначальным принципом портфельной взвеси, обобщающим как талебовость, так и маржинальность баланса всяческих выгод и издержек, или доходности и рисков (2*)! Но немаловажно и то, что следующая, остаточная стадия резидуальной оптимизации указывает на то, что конкретная омега-взвесь может быть столь же неважной, сколь ненаблюдаемым может оказаться порождающее распределение: ведь подобрав вес, мы не можем знать, какое из распределений он обслуживает уникально  снова налицо несравнимость (или иллюзорная сопоставимость) элементов либо локально-ситуативная касательность самых несвязанных объектов. Важно одно присутствие этой моды выбора, которая позволяет не только останавливаться на конкретном опционе или роде пути, но и избегать подобной дилеммы в принципе: когда речь о выборе полном, дарующим простоту  в пользу главного, безотносительно от цены в терминах остального.


Сет 12*: отношение априорное, апостериорное


Здесь всякая омега может служить и «индексом» (родом) пути  особенно, памятуя, что взвесь таковых возвращает некий инвариант, что соделывает всякую взвесь произвольной, а ее конкретику  иррелевантной, так что и квантор существования уместно заменить квантором произвольности. Это поистине тот редкий случай, где выбор как таковой дарует свободу (в т.ч. от сложной конкретики выбора), хоть простота сия достижима исключительно на полноте  кстати сказать, возможно ненаблюдаемой в смысле открытости, апостериорности же горизонта суммирования или взвешивания. В этой (и не только этой) связи сам критерий наблюдаемости мыслимо, и даже имеет смысл, расщепить: на априорную («левую полу-/не/наблюдаемость») и апостериорную или posthoc («правую полу-наблюдаемость»).

А знаете что? Ведь нет нужды постоянно барахтаться в абстракциях, пусть и наиболее интуитивно обобщающих многие случаи и применения, когда готовые редукции лежат на поверхности и могут быть подняты без издержек и ущерба общности, подобно всяким прочим Парето-ресурсам (или, лучше, P-ресурсам опрощения и восполнения). К примеру, вышеприведенную схему естественно визуализировать, от стоимости или ценности, определяемой фундаментальным ядром и сетеподобной «периферией» поддержки, перейдя к цене, которая довольно однозначно и почти всегда определяется зависимостью от избыточного спроса (excess demand). В самом деле, фундаментальной стоимости будет соответствовать равновесная некая цена, где и спрос уравновешен предложением (избыточный, ненулевой спрос вовсе нет нужды предполагать как априорная данность, ибо в лучшем случае нащупывается рынком как тенденция, в процессе того же непрерывного скрининга, мониторинга, сигналинга  и tatonnement, «нащупывания», подобно и размерности постигаемой философской проблемы).

Но не замечательно ли то, как система (1)  (2*) схватывает простую и однозначную диалектику нелинейной зависимости от общей массы поддержки или мобилизации  этакого рубежа или характеристики возможностей концентрации  на фоне довольно линейной, почти тривиальной зависимости от разбиения этой самой массы?

Ваша оценка очень важна

0
Шрифт
Фон

Помогите Вашим друзьям узнать о библиотеке

Скачать книгу

Если нет возможности читать онлайн, скачайте книгу файлом для электронной книжки и читайте офлайн.

fb2.zip txt txt.zip rtf.zip a4.pdf a6.pdf mobi.prc epub ios.epub fb3