Ustin Chashchikhin - Quantum theory of gravitation стр 2.

Шрифт
Фон

I want to draw the readers attention to an important fact about quantization of energy and momentum.

In general relativity, the source of the gravitational field is the energy-momentum tensor, a measure of the energy and momentum density in a volume:


The electric charge is quantized. Therefore electromagnetic field is quantized.


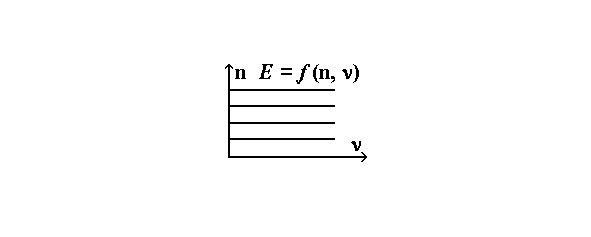
Energy and momentum are quantized in n, but they are not quantized in frequency \nu. Therefore gravitational field is not quantized.


Quantized energy spectrum in n and continuous energy spectrum in frequency \nu. Expression matter is quantized means quantization of energy and momentum at n.

4. Is there a minimum elementary mass?

The lightest particles with a rest mass are the electron and positron. Is the mass of an electron the elementary mass  the minimum mass that all other masses are multiples of it? Is here the same situation as in the case of an electric charge?

To answer this question, it is enough to calculate the ratio of the masses of all elementary particles to the mass of the electron. If all these relations are equal to natural numbers, then we can say that the mass of the electron is an elementary mass.

However, after making these simple calculations, we can see that these ratios are not natural numbers, for example, the ratio of the muon and electron masses is ~206.768, the ratio of the proton and electron masses is ~1836.1527, and so on.

You can double-check these calculations for all particles with a rest mass. As a result of these simple calculations, it is easy to see that, unlike the electric charge, the masses of elementary particles are not proportional to the mass of the electron.


(4)


What conclusions can be drawn from these facts?

Can we say that the mass of an electron is an elementary mass based on these facts? Isnt it that the opposite conclusion follows from these facts?

This means that we can no longer describe the gravitational interaction between an electron and a proton as an exchange of one virtual graviton. A proton is heavier than an electron and its gravitational field is stronger than that of an electron. And stronger in a non-integer number of times ~1836.1527

Are we reasoning correctly?

Maybe there is a mass of neutrinos and it is the minimum and elementary mass? Or maybe there is a certain elementary particle  the carrier of the minimum elementary mass? Then it is logical to assume that all other particles with a rest mass must be constructed from neutrinos or from such a particle  carrier of elementary mass. If this were true, then this particle with a mass less than the mass of the electron would appear at particle collisions in colliders. However, experiments rather refute than confirm this line of thought [1719].

Is it possible to assert the presence of an elementary mass on the basis of these data? No, I think.

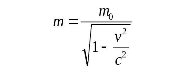
5. Is there the elementary mass in the relativity theory?

Even if we found an elementary mass in a non-relativistic theory, in relativity, attempts to quantize mass are complicated by the fact that in it the mass depends on the velocity:



Therefore, in the theory of relativity, the question of the existence of an elementary mass depends on the existence of an elementary velocity.

Ваша оценка очень важна

0
Шрифт
Фон

Помогите Вашим друзьям узнать о библиотеке

Скачать книгу

Если нет возможности читать онлайн, скачайте книгу файлом для электронной книжки и читайте офлайн.

fb2.zip txt txt.zip rtf.zip a4.pdf a6.pdf mobi.prc epub ios.epub fb3