Сергей Александрович Мазеин - HAZOP  практическое руководство

Шрифт
Фон

HAZOP  практическое руководство


Сергей Александрович Мазеин

© Сергей Александрович Мазеин, 2020


Предисловие автора

Настоящее руководство составлено в соответствии с запросами слушателей и пользователей на основе британского стандарта BS IEC 61882:2001 и ГОСТ Р 51901.112005 и представляет собой результат многолетнего опыта преподавания метода и его применения. Поскольку официальным документам не достает «практичности», на взгляд читателей, в данном руководстве сделан акцент на то, КАК этот метод может быть применен, сделаны попытки дополнительно разъяснить те или иные положения официальных документов за счет большей «иллюстративности» (наглядности) текста. Возможно, в некоторых вопросах это сужает взгляд, в некоторых углубляет, однако за основу взят текст и структура британского стандарта, чтобы у читателей сохранилось представление и об официальном документе.

Надеюсь, что настоящее руководство поможет распространению и более эффективному применению метода.

С. А. Мазеин

Введение

В начале XX века становится понятно, что рассматривать сложные объекты только на основе свойств составляющих их элементов не совсем продуктивно. Концепция «система надежна, если надежен каждый его элемент» стала подвергаться сомнению.

По мере развития науки и техники изменились многие параметры, которые существенно влияли на последствия функционирования технических систем, такие как:

 скорость процессов;

 масштабы затрат на создание объектов;

 масштабы последствий;

 новые материалы и процессы, не имевшие длительного (я бы сказал, векового) опыта практического использования;

 сложность техногенных систем.

Все это требовало изменения подходов к проектированию, эксплуатации техногенных систем.

Поведение систем определяется не столько свойствами составляющих их частей/компонентов, сколько характером и количеством связей (взаимодействий) между этими частями/компонентами.

Сложность системы определяется количеством связей. Чем больше связей приходится на один компонент системы, тем она сложнее.


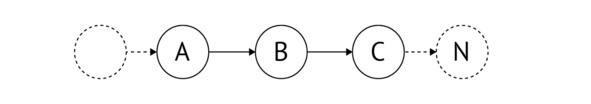
Рис. 1. Пример простой системы (на один элемент  2 связи)  линейной


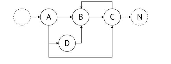
Рис. 2а. Пример более сложной системы

(в среднем более двух связей на один элемент)


Рис. 2б. Пример максимально сложной системы из 4-х элементов. Все связаны со всеми


В реальной практике мы сталкиваемся с еще более сложными системами, чем показано на рис. 2б. Так называемыми «мягкими» системами (сверхсложными), не столько из-за количества элементов, сколько из-за наличия особого типа элементов, имеющих собственное целеполагание, которое может изменяться во времени и отличаться от цели системы, для которой оно создавалось. Этим «особым» элементом является человек.

Действительность преподносит нам еще один «подарок»  это связи с «внешней», по отношению к рассматриваемой системе, средой (метасистемой).

Типы связей (взаимодействия) также бывают различными, это и обеспечивает многообразие поведения системы. Например, пропорциональные связи «чем больше  тем больше», когда увеличение воздействия влечет увеличение отклика. Обратно пропорциональные связи  «чем больше  тем меньше». В этом случае увеличение воздействия влечет уменьшение отклика, и, наоборот, уменьшение влечет увеличение. Пороговые связи: воздействие тогда приводит к отклику, когда достигает или превосходит некоторое пороговое значение. Взаимодействие с задержкой, когда отклик происходит спустя какое-то время.


Рис. 3. Модель «реальной» 4-элементной системы

с внешней средой


Исследование реальных систем в рамках практической деятельности не представляется возможным, да и человеческое мышление, восприятие устроено таким образом, что воспринимает мир через свое представление о нем. Поэтому для практических целей исследуются модели явления, процесса, системы и т. п.

В связи с этим хотелось бы сказать пару слов об ограничениях любого исследования.

Когда мы говорим о проекте, процессе, установке, то, в первую очередь, говорим о модели того, что собираемся рассматривать. Возникает вопрос адекватности модели. Адекватной моделью принято считать ту, которая позволяет осмысленно ответить на вопросы исследования, указав причину и следствие, то есть показывает, как возникает или формируется ответ. Но модель не есть действительность (карта местности не является самой местностью).

Ваша оценка очень важна

0
Шрифт
Фон

Помогите Вашим друзьям узнать о библиотеке

Скачать книгу

Если нет возможности читать онлайн, скачайте книгу файлом для электронной книжки и читайте офлайн.

fb2.zip txt txt.zip rtf.zip a4.pdf a6.pdf mobi.prc epub ios.epub fb3