Валентин Юльевич Арьков - Анализ рядов динамики в электронных таблицах. Учебное пособие стр 6.

Книгу можно купить на ЛитРес.
Всего за 5.99 руб. Купить полную версию
Шрифт
Фон

Задание. Сделайте зарисовку графика сезонности по своему варианту и вставьте в отчёт.

6.1.3. Случайность

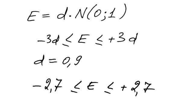
Рассмотрим случайную составляющую модели. Мы будем использовать стандартное нормальное распределение со средним значением 0 и дисперсией 1. Обозначение такое: N (0; 1). Латинская буква N означает «нормальное распределение». Числа в скобках  это две характеристики распределения: среднее равно 0, сигма (с.к.о.) равна 1

По «правилу трёх сигм» большинство значений будет находиться в диапазоне «среднее плюс-минус три сигмы». Коэффициент d в нашей модели определяет значение сигмы в каждом варианте. Поэтому диапазон значений получается следующий (рис. 6.11).


Рис. 6.11. Разброс случайности


Задание. Оцените размах значений случайной составляющей и вставьте свои выкладки в отчет.


Пришло время для зарисовки случайной составляющей. В нулевом варианте будет 50 отсчётов по времени. Размах значений мы уже определили.

Делаем зарисовку (рис. 6.12) и вставляем в отчёт.


Рис. 6.12. Зарисовка случайной составляющей


Задание. Сделайте зарисовку графика случайной составляющей и вставьте в отчёт.

6.1.4. Сумма компонентов

Мы разобрались с отдельными компонентами и сделали зарисовки их графиков.

Пришло время сложить три компонента и получить общую форму графика наших данных. Мы получаем линию тренда. На неё накладываются сезонные колебания постоянной амплитуды. Период колебаний мы тоже знаем.

Как правильно сложить тренд и сезонность? Первое, что приходит в голову  это повернуть лист бумаги и нарисовать синусоиду вокруг линии тренда (левая часть рис. 6.13). Это будет не совсем правильно. Даже совсем неправильно. Подобные упущения встречаются даже в солидных учебниках, например, в книге [3].

Дело в том, что колебания происходят вверх-вниз от наклонной линии тренда (правая часть рис. 6.13). При растущем тренде растущая волна будет более пологая, а падающая часть  более крутая, обрывистая. Именно такую картину мы увидим, когда доберёмся до реальных данных.


Рис. 6.13. Зарисовка T + S


Плюс ко всему этому у нас будет случайный разброс, который составит примерно три сигмы (рис. 6.14). Случайный разброс тоже будет происходить вверх и вниз от графика. Для случайной составляющей мы просто укажем границы разброса. Пунктиром.


Рис. 6.14. Сумма компонентов


Задание. Сделайте зарисовку графика ряда динамики и вставьте в отчёт.

6.2. Мультипликативная модель

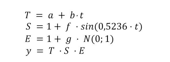
Второй вид моделей, который мы рассматриваем в данной работе,  это мультипликативные модели. На рис. 6.15 приведены формулы, по которым мы будем строить нашу мультипликативную модель.


Рис. 6.15. Мультипликативная модель


Задание. Запишите уравнения мультипликативной модели с параметрами своего варианта и вставьте в отчёт.

Ваша оценка очень важна

0

Дальше читают

Шрифт
Фон

Помогите Вашим друзьям узнать о библиотеке

Скачать книгу

Если нет возможности читать онлайн, скачайте книгу файлом для электронной книжки и читайте офлайн.

fb2.zip txt txt.zip rtf.zip a4.pdf a6.pdf mobi.prc epub ios.epub fb3