Владимир Павловец - Математические задачи и головоломки. Для школьников младших и старших классов стр 2.

Книгу можно купить на ЛитРес.
Всего за 74.9 руб. Купить полную версию
Шрифт
Фон

Необходимо доказать вариант угадывания возраста.


17. Сколько деталей?

В токарном цехе завода вытачиваются детали из свинцовых заготовок. Из одной заготовки  деталь. Стружки, получившиеся при выделке шести деталей, можно переплавить и приготовить еще одну заготовку.

Сколько деталей можно сделать, таким образом, из 36 свинцовых заготовок?


18. Спящий пассажир.

Когда пассажир проехал половину всего пути, то лег спать и спал до тех пор, пока не осталось ехать половину того пути, что он проехал спящим.

Какую часть пути пассажир проехал спящим?


19. Может ли быть такое число?

Может ли быть такое число, которое при делении на 3 дает в остатке 1, при делении на 4  в остатке 2, при делении на 5  в остатке 3 и при делении на 6 дает в остатке 4? Какое это число?


20. «Вечный» календарь.

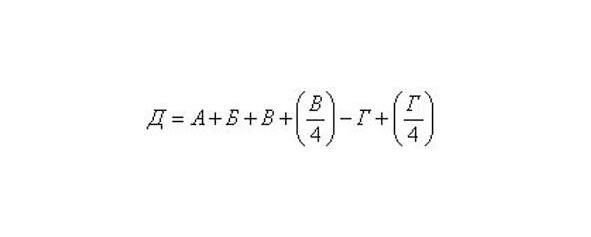
Все «вечные» календари сводятся в основном к трем типам: табличные, механические и аналитические. Наибольший интерес для обыденной жизни представляют аналитические календари. Это, как правило, математическая формула, представляя в которую известные числа и производя несложные математические вычисления, можно определить день недели в любую дату, как в прошлом, так и в будущем. Из всего многообразия формул приведем одну (для нового стиля; кроме того, следует учесть, что годы 1700, 1800 и 1900 не високосные):



где А  календарное число месяца, Б  месячный коэффициент, В  номер года, Г  число столетий. Месячный коэффициент Б находится по таблице: январь  6 (для високосных лет  5), февраль  2 (для високосных лет  1), март  2, апрель  5, май  7, июнь  3, июль  5, август  1, сентябрь  4, октябрь  6, ноябрь  2 и декабрь  4.

В приведенной формуле символ () означает, что нужно взять только целую часть частного. По формуле вычисляем число Д

Ваша оценка очень важна

0

Дальше читают

Шрифт
Фон

Помогите Вашим друзьям узнать о библиотеке

Скачать книгу

Если нет возможности читать онлайн, скачайте книгу файлом для электронной книжки и читайте офлайн.

fb2.zip txt txt.zip rtf.zip a4.pdf a6.pdf mobi.prc epub ios.epub fb3