Петров Владимир Николаевич - Гравиполи. ТРИЗ стр 2.

Книгу можно купить на ЛитРес.
Всего за 20 руб. Купить полную версию
Шрифт
Фон

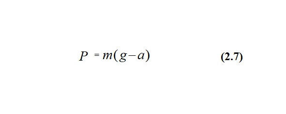
Формула веса имеет вид (2.7)


Вес тела


3. Тело движется по окружности в вертикальной плоскости


Вес тела


Где

P  вес тела;

m  масса тела;

g  ускорение свободного падения;

V  скорость движения тела;

r  радиус окружности.


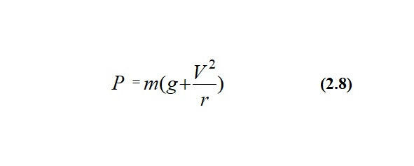
3.1. Тело находится в нижнем положении

Формула веса имеет вид (2.8)


Рис. 2.1. Тело в нижнем положении


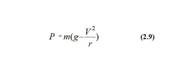
3.2. Тело находится в верхнем положении

Формула веса имеет вид (2.9)


Вес тела


Рис. 2.2. Тело в верхнем положении


4. Тело находится в различных средах

Формула веса имеет вид (2.10)


Вес тела


Где

вес тела;

Fa  сила Архимеда;

m  масса тела;

g  ускорение свободного падения.


Где


Сила Архимеда


Fa  сила Архимеда;

ρ  удельная плотность среды (жидкости или газа);

V  объем тела.


Сила Архимеда проявляется, когда тело непосредственно находится в среде.


5. На тело воздействует сила, увеличивающая или уменьшающая вес

3. Управление полем

3.1. Управление силой тяготения

В соответствии с формулой (2.1) силой тяготения можно управлять, изменяя массы тел или расстояние между ними.


Пример 3.1. Космический корабль

При значительном отдалении космического корабля от планеты на ракету почти не действует сила тяготения.

3.2. Управление силой тяжести

Силой тяжести, описанной формулами (2.2), (2.3), (2.4), можно управлять, изменяя массу тела и ускорение свободного падания.


Ускорение свободного падения «g» зависит от:

 высоты расположения тела над Землей;

 широты места;

 пород земной коры.


Пример 3.2. Навигационные приборы

В навигационных приборах вводят поправки от выше указанных параметров.

3.3. Управление весом

Управление весом можно осуществлять, изменяя массу тела и ускорение свободного падания, а, также создавая дополнительную силу, которая в зависимости от направления будет увеличивать или уменьшать вес.

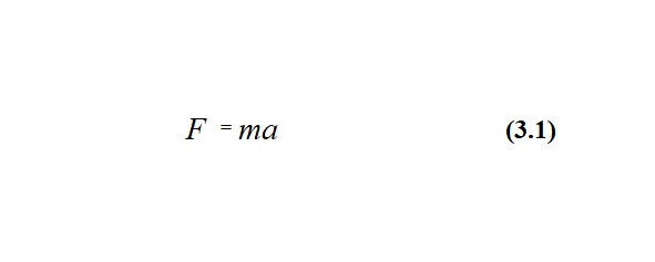
По второму закону Ньютона сила описывается формулой (3.1).


Второй закон Ньютона


Дополнительная сила может быть любой природы.

Далее в этом разделе опишем возможные способы «управления» весом.


3.3.1. Движение с ускорением


3.3.1.1. Ускорение направлено вверх

Ускорение направлено в сторону противоположную весу, т. е. создается перегрузка («увеличение» веса) в соответствии с формулой (3.2).

Ваша оценка очень важна

0
Шрифт
Фон

Помогите Вашим друзьям узнать о библиотеке

Скачать книгу

Если нет возможности читать онлайн, скачайте книгу файлом для электронной книжки и читайте офлайн.

fb2.zip txt txt.zip rtf.zip a4.pdf a6.pdf mobi.prc epub ios.epub fb3