Петров Владимир Николаевич - Гравиполи. ТРИЗ

Книгу можно купить на ЛитРес.
Всего за 20 руб. Купить полную версию
Шрифт
Фон

Гравиполи

ТРИЗ


Владимир Петров

© Владимир Петров, 2018


1. Введение

Гравиполи1  это тенденции увеличения управляемости гравитационного поля тенденции, учитывающие способы управления веществом с помощью гравитационного поля и «управления» полем.

Под гравитационным полем в данной работе будем понимать силы гравитации, тяжести и вес тела. Под управлением будем понимать их увеличение или уменьшение.

Гравиполи можно использовать для осуществления и других действий, например, созданиядвижения, силы, выработки и накопления энергии, удержания тела в определенном положении, повышения статической устойчивости, устранения вибрации, образования пленки, измерения и обнаружения различных параметров и т. п.

Первоначально мысли о разработке тенденции «управления» весом возникли у автора в начале 70-х годов при знакомстве с приемами разрешения технических противоречий, разработанных Г. С. Альтшуллером2. Прием 8 «Принцип антивеса» непосредственно описывает способы управления весом. В сентябре 1973 г. автор послал первый вариант наброска работы (отдельные линии и примеры)3 Г. С. Альтшуллеру и он, резонно сказал, что работа еще «сырая». Вторично к данной работе автор вернулся в середине 1980 г. познакомившись с тенденциями развития теполей4 и феполей5, разработанными

Г. С. Альтшуллером. К этому времени автор понял, что таким образом должны быть представлены закономерности развития по любому из полей. Автор неоднократно пытался дать эту тему своим ученикам, но, к сожалению, никто так и не выполнил эту работу. Первый вариант практически завершенной работы был сделан в сентябре 1989 г., но он не удовлетворил автора, и работа была приостановлена и завершена в декабре 1989 г.

Основная линия развития гравиполей показана на рис. 1.1.


1.1. Тенденция развития гравиполей

2. Основные физические принципы

Для лучшего понимания материала напомним общеизвестные физические истины.

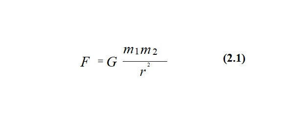
Сила тяготения описывается формулой (2.1)


Cила тяготения


Где

F  сила тяготения;

G  гравитационная постоянная;

m1, m2  массы тел;

r  расстояние между телами.


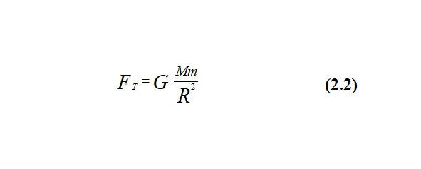
Сила тяжести описывается формулами (2.2) и (2.3)


Cила тяготения


Cила тяготения


Ускорение свободного падения


Где

  сила тяжести;

G  гравитационная постоянная;

M  масса Земли;

m  масса тела на поверхности Земли;

g  ускорение свободного падения;

R  радиус Земли.


Вес тела  это сила, действующая на опору или подвес (которые удерживают тело от свободного падения вследствие тяготения Земли). Вес тела, покоящегося в инерциальной системе отсчета, совпадает силой тяжести и описывается формулой (2.5)


Вес тела


Где

P  вес тела;

m  масса тела;

g  ускорение свободного падения.


Покажем возможности изменения веса тела.


1. Опора неподвижна или движется равномерно

Вес определяется по формуле (2.5)

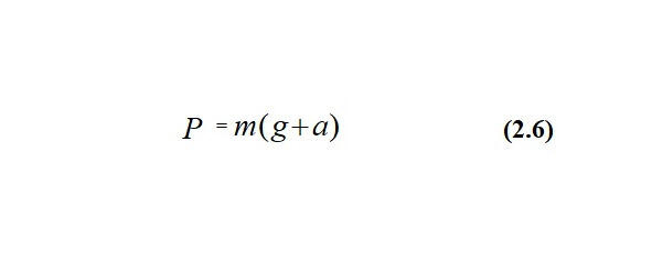
2. Опора движется с ускорением


Вес тела


Где

P  вес тела;

m  масса тела;

g  ускорение свободного падения;

a  ускорение движения тела.


2.1. Ускорение направлено вверх  перегрузка.

При этом формула веса будет иметь вид (2.6)


2.2. Ускорение направлено вниз  уменьшение веса.

Ваша оценка очень важна

0
Шрифт
Фон

Помогите Вашим друзьям узнать о библиотеке

Скачать книгу

Если нет возможности читать онлайн, скачайте книгу файлом для электронной книжки и читайте офлайн.

fb2.zip txt txt.zip rtf.zip a4.pdf a6.pdf mobi.prc epub ios.epub fb3