Ирина Евгеньевна Смехова - Технология мягких лекарственных форм. Учебное пособие стр 3.

Книгу можно купить на ЛитРес.
Всего за 40 руб. Купить полную версию
Шрифт
Фон

При приготовлении, назначении и применении мазей необходимо учитывать состояние кожи и слизистых оболочек, в том числе их физиологические и возрастные особенности.

Биофармацевтические аспекты мазей. Схема структуры кожи человека

Кожа сложный орган, который выполняет следующие функции: защитную, терморегуляции, секреторную и потоотделения, всасывания и, благодаря наличию рецепторов, носителя ощущений. Кожа взрослого человека имеет общую площадь около 1,5 м2 и состоит из трех слоев (рис. 1):

 эпидермис (подкожица);

 собственно кожа (дерма);

 подкожная жировая клетчатка.

Подкожица (эпидермис) состоит из постоянно меняющихся пяти слоев клеток. Представляет собой полупроницаемую мембрану, лишенную кровеносных сосудов.

Наружный слой подкожицы роговой состоит из кератинизированных клеток и пронизан протоками потовых и сальных желез, волосяными фолликулами. Эти клетки физиологически пассивны, выполняют защитные функции и представляют собой основной барьер для попадания лекарственных веществ и микроорганизмов в организм человека. Толщина первых двух слоев около 4 мм.

Дерма состоит из эластичных волокон, пронизанных кровеносными, лимфатическими сосудами и нервными окончаниями. В дерму также открываются протоки различных желез (потовых, сальных). Через дерму хорошо всасываются жирорастворимые вещества, которые иногда могут оказывать токсические эффекты (резорцин, цинка сульфат, кислота борная, кислота салициловая, хлороформ).


Рис. 1. Схема строения кожи человека:

1 роговой слой; 2 капиллярный слой; 3 сеть капилляров; 4 кровеносный сосуд


Подкожная клетчатка состоит из пучков соединительной ткани с зернами подкожного жира (см. рис. 1).

Пути проникновения лекарственных веществ через кожу. Всасывание лекарственных веществ происходит через эпидермис, сальные и потовые железы и волосяные луковицы (рис. 2). Количество всасываемого вещества зависит от площади нанесения мази и толщины кожи. Всасывание может быть усилено интенсивным втиранием мази и зависит от состояния кожи, наличия заболевания и величины рН. У здоровых людей значение рН составляет от 5,5 до 6,5 7,0. При воспалительных процессах рН кожи снижается. Количество всасываемого лекарственного вещества увеличивается с повышением рН.

Качество мази определяется многими показателями, в том числе способностью мазевых основ высвобождать лекарственные вещества и скоростью всасывания лекарственных веществ. Процесс всасывания складывается из следующих стадий:

 растворение лекарственных веществ в основе;

 диффузия лекарственных веществ в границах нанесения слоя мази;

 проникновение лекарственных веществ в кожу.


Рис. 2. Пути проникновения лекарственных веществ через кожу:

А трансдермальный: 1 межклеточный; 2 трансцеллюлярный; Б через поры: 3 трансгладулярный (через стенки фолликул и протоки сальных и потовых желез); 4 трансфолликулярный


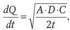
Рассчитать количество всосавшегося лекарственного вещества можно по формуле:



где Q количество всосавшегося вещества за определенное время t; D константа диффузии; А концентрация вещества; С растворимость лекарственного вещества в основе (определяется in vitro и in vivo).

МАЗЕВЫЕ ОСНОВЫ

Мази состоят из лекарственных веществ, определяющих медицинское назначение мази, и основы. Мазевые основы обеспечивают надлежащую массу мази, необходимую концентрацию лекарственных веществ, нужные физические свойства: консистенцию, плавкость, мягкость, намазываемость и др.

Сами основы могут иногда оказывать фармакологическое действие (например, бентонит, фитостерины оказывают противовоспалительное, ранозаживляющее действие и т. д.). То есть основы являются активным носителем лекарственных веществ. Заменяя основы, можно изменять резорбцию (всасывание лекарственных веществ) и пенитрацию (проникновение и насыщение лекарственными веществами органов, липоидных клеток).

Ваша оценка очень важна

0
Шрифт
Фон

Помогите Вашим друзьям узнать о библиотеке

Скачать книгу

Если нет возможности читать онлайн, скачайте книгу файлом для электронной книжки и читайте офлайн.

fb2.zip txt txt.zip rtf.zip a4.pdf a6.pdf mobi.prc epub ios.epub fb3