Maurizio Dagradi - Kriteri I Leibnizit стр 32.

Шрифт
Фон

<163000J22.> deklaroi.

Schultz futi edhe atë vlerë, dhe ndërkohë Drew i solli rezultatin e punës së tij dhe Marronit.

<Konsidero një trashësi të shtresës të barabartë me dy miliardë vite-dritë. Është përafrimi më i mirë që mund të të japim, për momentin.>

Gjermani shkruajti numrin në ekuacion afër vizatimit të stilizuar të një sfere të veshur nga një guackë koncentrike.

Novak ishte tek dërrasa e zezë me Schultzin dhe filloi të zhvillonte ekuacionet me të dhënat e sapo shtuara.

Nga një banak Maoko u ngrit rrëzëllitëse dhe shkoi tek dërrasa me dispensën në një dorë dhe shënimet e saj në tjetrën. Me gisht tregoi një tabelë në dispensë.

<Ka! Është parametri R6!> deklaroi triumfuese. <Duhet mbajtur deri në 190 mikrovolt.>

Schultz shkruajti 190*10-6 në vend të x në një formulë dhe bëri llogaritë. Priti pastaj Novak-un, që arriti shpejt në fund të llogarive të saj dhe gjeti disa rezultate. Schultz i përdori menjëherë së bashku me të vetat, në një ekuacion të ri.

Punoi si në ethe për disa minuta, i vëzhguar nga kolegët.

Arriti në hapin përfundimtar dhe hezitoi.

Ekuacioni tashmë ishte pakësuar në pak faktorë, dhe ai ishte thuajse i frikësuar të bënte hapin e fundit dhe të njihte rezultatin.

Fshiu sytë e skuqur dhe me rrathë të zinj, morri frymë thellë dhe zgjidhi hapin.

Ndaloi të shikonte numrin e fundit që kishte shkruar në të djathë të barazimit, sikur nuk po e shihte në të vërtetë.

Nuk mund ta besonte.

Po ishte pikërisht kështu.

Novak pohonte, e ndjekur nga Kamaranda dhe Drew. Maoko dhe Kobayashi po i buzëqeshnin njëri-tjetrit, duke parë herë dërrasën herë kolegët. Marron u mbështet në një banak, i sfilitur.

<Sistemi termodinamik rezulton në ekuilibër.> njoftoi Schultz me qëllim thjesht formal. <Duke e konsideruar universin si një sistem termodinamik të mbyllur, vendosur në brendësi të një shtrese me trashësi dy miliardë vite-dritë, dhe duke rregulluar përshtatshmërisht parametrin R6 të identifikuar nga zonjusha Yamazaki, mund të kalibrojmë treshen e transferimit në mënyrë që të shkëmbejmë vëllimet e hapësirës nga këtu dhe çdo pikë e universit të njohur, me zgjidhjen e paraqitur nga gjatësia e Plankut. Vëllimi i shkëmbyer tani hyn në ekuacion, ndryshe nga më parë, por tani fuqia maksimale e nevojshme për shkëmbimin e një vëllimi të barabartë me një metër kub, në një largësi prej 10 miliardë vite-dritë, është 5 gigawatt. Një fuqi e konsiderueshme, sigurisht, dhe që kërkon një çentral elektrik të posaçëm, kuptohet, por të përdorshëm.>

Profesoreshë Bryce u afrua.

<Mund të di çfarë ka ndodhur?>

<Kemi rikonfiguruar konceptin e universit.> tha Drew me zërin të mbushur me emocion. <Funksionimi i veçantë i makinerisë së shkëmbimit na ka çuar në evoluimin e modelit mbi të cilin shkenca është mbështetur deri tani. Tani e tutje, sistemi termodinamik për tu marrë parasysh do jetë i përbërë nga një mbështjellje e dendur në brendësi të së cilës është universi ynë, ai i njohuri. Mbështjellësi dhe universi ynë mund të shkëmbejnë energji në dy drejtime, duke mbajtur bilancin energjitik kostant. Ligji i ruajtjes së energjisë respektohet, me një model të këtij lloji. Në këtë model mbështjellja është një metaforë e thjeshtë që lejon administrimin e termodinamikës së gjithë sistemit, dhe vënies në funksionim të saj. Ndërsa, nga pikëpamja hapësiro-kohore, nuk konsiderohet si një entitet fizik, si një guackë dua të them, pasi në realitet është e lidhur në nivel dimensional me shtresën hapësiro-kohore të universit të njohur. Kjo e lejon makinerinë të funksionojë, ndërkaq çdo pikë e universit tonë është e lidhur me një pikë të mbështjellësit. Kur makineria aktivizohet, pra, pllaka A hyn në pikën e mbështjellësit të lidhur me të, sikur të hapte një derë, dhe gjeneron një kanal transferimi që ne e kemi quajtur Lidhësi, i cili e ka ekstremitetin tjetër të kapur mbas një pike tjetër të universit tonë, përcaktuar nga parametrat që vendosëm. Një parametër vendimtar, R6-a, bën që shkëmbimi i vëllimeve midis hapësirave A dhe B mund të ndodhë duke përdorur një sasi energjie të praktikueshme.>

Biologia e kishte kuptuar vetëm në vija të trasha fjalimin e Drew-së, por i mjaftonte. E rëndësishme ishte që të funksiononte.

<Duhet ti japim një emër, këtij modelit të ri.> vërejti Marron.

<E drejtë!> aprovoi Kamaranda, guru-ja e modeleve matematike. <Unë propozoj ta quajmë thjesht Sistemi. Është e lehtë për ta kujtuar dhe i shpejtë për ta cituar.>

<Jam dakord.> ndërhyri Drew. <Si thoni?> pyeti i kthyer nga të tjerët.

<Për mua në rregull.> tha Schultz, dhe edhe të tjerët iu bashkuan duke pohuar të kënaqur.

<Perfekt.> tha Drew. <Por, tani, të gjithë për të ngrënë!> urdhëroi me mirësi.

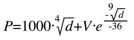
Marron qe i fundit që doli. Tek pragu i derës u kthye të shikonte dërrasën e zezë, mbi të cilën ekuacioni final për llogaritjen e fuqisë po shfaqej bukur. Ishte pabesueshmërisht e thjeshtë, krahasuar me punën e tmerrshme që kishte kushtuar, dhe në formën e tij të thjeshtuar paraqitej kështu 23:

ku:

P = fuqia në Watt

d = largësia e shkëmbimit, në metra

V = vëllimi i shkëmbyer, në metra kub

Bryce kishte ngrënë tashmë, natyrisht, ndaj qëndroi në laborator të korrigjonte disa punime të studentëve të saj që kishte me vete në çantë.

Gjithë të tjerët shkuan me hapa të shpejtë në mencën e Universitetit, të lodhur dhe të uritur.

Duke hyrë dhe duke parë sallën pothuajse të zbrazët Marron u kujtua që, duke mos shkuar për drekë në kohë, nuk kishte mundur të takonte Charlene-ën. Ndoshta do të ishte mërzitur, por shpresonte se duke i shpjeguar që kishte qenë i zënë me eksperimentin e tij delikat do i kishte kaluar.

Menca ofronte akoma një zgjedhje diskrete dhe të gjithë vetëshërbyen bujarisht. U ndanë në disa tavolina për të shpërndarë tensionin e asaj zhytjeje totale, gju më gju, që kishin jetuar për shumë orë. Për më tepër hëngrën në qetësi, dhe të paktat fjalë të këmbyera ishin për klimën, argument klasik jo impenjativ dhe qetësues.

E morrën me qetësi dhe nga ora katër u kthyen me dembelizëm në laborator. Atë ditë kishin revolucionarizuar shkencën, nuk kishin pse të nxitoheshin më tepër.

Gjetën Bryce që po shkundte kokën e stresuar, ndërsa hiqte vija të kuqe në detyrën e një nxënësi.

U kthye nga grupi që po hynte dhe tundi në ajër fletën me shkrim dore.

<Sipas këtij studenti, një tretësirë uji dhe klorur natriumi në 15% është një përzierje ekspozive nëse nxehet në 38 gradë celcius, në presion atmosferik. Produktet e reaksioneve që ai llogarit janë aq të gabuara saqë nuk di nëse duhet ti lë të kryejë eksperimentete e mbetura të kursit. Kam frikë se mund të hyjë në konkurim me dikë që e njoh, specialist në shpërthimet e papritura.> dhe i shkeli syrin Drew-së.

Fizikanti buzëqeshi mospërfillës dhe u ul gjysmë i nderur në një karrige, duke kryqëzuar gishtat mbi bark dhe duke parë Bryce me një shprehje gjakftohtë paqeje të brendshme.

Ваша оценка очень важна

0
Шрифт
Фон

Помогите Вашим друзьям узнать о библиотеке

Скачать книгу

Если нет возможности читать онлайн, скачайте книгу файлом для электронной книжки и читайте офлайн.

fb2.zip txt txt.zip rtf.zip a4.pdf a6.pdf mobi.prc epub ios.epub fb3

Популярные книги автора