Андрей Просин - Турфирма (Туристическое агентство) стр 6.

Книгу можно купить на ЛитРес.
Всего за 164.9 руб. Купить полную версию
Шрифт
Фон

То есть, в случае, если Аналог имеет характеристику лучше, чем у Объекта оценки, цена Аналога уменьшалась на величину соответствующей корректировки. И наоборот, в случае, если Аналог имеет характеристику хуже, чем у Объекта оценки, цена Аналога увеличивалась на величину соответствующей корректировки.

В связи с тем, что все Аналоги расположены в девяти-десятиэтажных домах одного периода постройки, близких к домам в которых расположен Объект оценки, корректировки на масштаб, конструктивное исполнение и местоположение не вносились.

Для определения рыночной стоимости использовались следующие корректировки:

1. Скидка на уторговывание. Все Аналоги на дату оценки еще выставляются на продажу, то есть при сравнении использована цена предложения. Как правило, при совершении сделки с подобными объектами, скидка с публикуемых цен предложения составляет 25100 тыс.руб. Из интервью с продавцами Аналога 1 установлено, что величина торга составляет 100 тыс.руб., что соответствует -4,8%; для Аналога 2, величина торга составляет 25 тыс.руб., что соответствует -1,4%; для Аналога 3, величина торга составляет 25 тыс.руб., что соответствует -1,3%; для Аналога 4, величина торга составляет 25 тыс.руб., что соответствует -1,4%.

2. Корректировка на этажность. Объект оценки и Аналоги 1,2,3,4, расположены на средних (седьмом, третьих, втором, четвертом) этажах девяти-десятиэтажных домов, поэтому стоимость Аналогов 1,2,3,4 не корректируется.

3. Корректировка на текущее состояние. Поскольку Объект оценки и Аналоги 1,2,4 имеют состояние «Без отделки (новостройка)», а Аналог 3 имеет состояние «Выполнен косметический ремонт», поэтому стоимость Аналога 3 необходимо скорректировать согласно средним ценам на рынке отделочных работ г. Астрахани, в соответствии с Таблицей 11.

Таблица 11



Стоимость Аналога 3, имеющего состояние «Выполнен косметический ремонт», необходимо скорректировать (уменьшить) на 5000 руб./кв. м.


Вес каждого итогового значения в рыночной стоимости определяется, исходя из его ранга. Ранжирование обусловливается общим приростом итогового значения по сравнению с исходным.

Так прирост скорректированной стоимости Аналога 1 по сравнению с исходным значением равен:



Аналогично определяется прирост для остальных Аналогов 2 (1,4%), 3 (12,3%), 4 (1,4%).

Оценщик присвоил Аналогам 1,2,3,4 вес равный 1.

Следующим этапом получаем произведение итоговой скорректированной цены и весового показателя для каждого аналога.

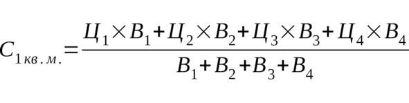
Далее суммируем полученные произведения и рассчитываем среднюю взвешенную стоимость 1 кв. м. оцениваемой квартиры по следующей формуле:



Отличие максимального значения стоимости Аналога от минимального значения стоимости Аналога после всех корректировок не может превышать 20%.

Документы необходимые для оформления сделки с объектами недвижимости

Так как законодательные акты Российской Федерации можно описывать разными словами, но закон не меняется, я решил выбрать описание юридических вопросов, которое мне понравилось. Я решил, что навряд ли напишу, как дипломированный юрист и поэтому ниже представлен текст автором, которого является Дмитрий Бачурин «Операции с недвижимостью. Как правильно купить, продать, сдать в аренду».

Ваша оценка очень важна

0

Дальше читают

Шрифт
Фон

Помогите Вашим друзьям узнать о библиотеке

Скачать книгу

Если нет возможности читать онлайн, скачайте книгу файлом для электронной книжки и читайте офлайн.

fb2.zip txt txt.zip rtf.zip a4.pdf a6.pdf mobi.prc epub ios.epub fb3