Gennady Gromov - Thermoelectric Microgenerators. Optimization for energy harvesting стр 9.

Книгу можно купить на ЛитРес.
Всего за 80 руб. Купить полную версию
Шрифт
Фон

Since both parameters α and σ have temperature dependencies, with multidirectional (Fig. 7.1a and 7.1b, respectively), to understand the temperature dependence of maximum power Pmax you must be aware of the temperature dependence of α2×σ that is presented in Fig.7.2.


Figure. 7.2 Dependence of α2×σ on temperature.


Follows from this temperature dependence that useful power decreases with growth of temperature.

Coefficient of performance

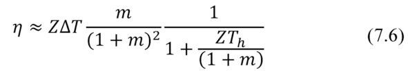
In the first approximation energy conversion efficiency (4.1) can be expressed as the following



Apparently from a formula (7.6) at the given temperature difference (for example, single ΔT=1) efficiency η approximately linearly depends on Figure-of-Merit Z. But this dependence becomes complicated existence of a factor  fractions with Figure-of-Merit parameter.

We will consider the modes of the maximum efficiency m1.4 and maximum power mode m=1. Simplified formulas for the efficiency for such modes are the following, respectively.



Fractional factors in both formulas (7.7) and (7.8)  Figure-of Merit factors, have temperature dependences, as shown in Fig. 7.3.


Figure. 7.3 Dependence of Figure-of-Merit on temperature.


The key parameter of material (its Figure-of Merit Z) influencing efficiency has obviously expressed maximum near room temperatures (Fig. 7.1g)  in the range of 280290K.

Ваша оценка очень важна

0

Дальше читают

Шрифт
Фон

Помогите Вашим друзьям узнать о библиотеке

Скачать книгу

Если нет возможности читать онлайн, скачайте книгу файлом для электронной книжки и читайте офлайн.

fb2.zip txt txt.zip rtf.zip a4.pdf a6.pdf mobi.prc epub ios.epub fb3