Анатолий Геннадьевич Маклаков - Познавательные психические процессы: Хрестоматия стр 11.

Шрифт
Фон

где r величина того свойства раздражителя, по отношению к которому производится оценка, а Δr то минимальное изменение этой величины, которое необходимо для возниковения у нас ощущения едва заметной разницы. Пороговые раздражители являются, таким образом, теми величинами, которые характеризуют чувствительность той или иной афферентной системы в данных условиях.

Необходимо, однако, заметить здесь, что повышение чувствительности иногда сказывается не понижением порогов, а обострением субъективной реакции на пороговое раздражение.

Такой случай мы имеем, например, в условиях протопатической кожной чувствительности. В отличие от обычного, данного нами выше определения термина чувствительности, здесь можно говорить о «гиперпатии», как то и предлагает делать Л. А. Орбели.

Изучение количественных связей между изменениями раздражителей и соответствующими им изменениями наших ощущений со времени Фехнера (Fechner, 1860) носит название психофизики. В психофизике разработан ряд методов определения порогов.

Г. Э. Мюллер (Müller, 1904) различает следующие три главных метода: метод установки (по Фехнеру, метод средней ошибки), метод границы (по Вундту, метод минимальных изменений) и метод постоянных раздражителей (по Фехнеру, метод истинных и ложных случаев).

Метод установки, или метод средней ошибки, состоит в том, что испытуемый субъект сам изменяет интенсивность раздражителя, то увеличивая, то уменьшая ее, до тех пор пока не получит едва заметного ощущения вообще (при определении абсолютного порога) или ощущения, равного по силе некоторому другому заданному (при определении разностного порога).

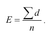
Каждая отдельная установка дает обычно значения, несколько отличающиеся друг от друга, скажем, a, a, a, an и т. д. Среднее арифметическое этих значений будет


где n число сделанных определений. Эта величина am и рассматривается как величина раздражителя, соответствующая абсолютному порогу, или же как величина, субъективно соответствующая раздражителю, данному как норма. Сумма разностей между величиной am и отдельными значениями a1, a2, a3, an разностей, равных соответственно d1 = a1 am, d2 = a2 am dn = an am, деленная на число сделанных установок, дает величину среднего уклонения, или средней ошибки.


При этом величины d берутся без учета их знака. Среднее уклонение, или средняя ошибка, есть одна из мер точности установок, производимых наблюдателем. Фехнер считал возможным думать, что величина средней ошибки является прямо пропорциональной разностному порогу. С последним трудно согласиться.

Как справедливо многими указывалось, величина средней ошибки, устанавливаемой по данному методу, зависит и от манеры устанавливания наблюдателем искомой величины, т. е. от многих обстоятельств, стоящих с величиной самого порога в достаточно сложной связи.

Метод границы, или метод минимальных изменений, предусматривает определение искомой величины (абсолютного или разностного порога) путем предъявления испытуемому лицу последовательного ряда раздражителей, постепенно, минимальными и равными ступенями, возрастающей и убывающей интенсивности. При этом один раз раздражения предъявляются по убывающей интенсивности их, меняясь от ощущения явно заметного, а другой раз по возрастающей от неощущаемого. Если речь идет о нахождении абсолютного порога, то определяются две величины: 1) величина раздражителя, впервые ощущаемая испытуемым лицом при применении ряда раздражителей возрастающей интенсивности, и 2) величина раздражителя, впервые им не ощущаемая,  при обратном, убывающем по интенсивности порядке раздражителей. Средняя арифметическая этих величин и принимается за истинное значение абсолютного порога. Как легко понять, точность подобных определений будет тем больше, чем меньше те ступени, по которым мы изменяем силу предъявляемых раздражителей. Они должны быть по возможности малыми, откуда и название метода. При определении разностного порога методом минимальных изменений находят уже не две, а четыре величины. Именно в случае нисходящего ряда раздражителя от «заметно большего» находят то значение раздражителя r', при котором наш изменяемый раздражитель «перестанет казаться большим» по сравнению с раздражителем постоянным. Продолжая уменьшать интенсивность переменного раздражителя далее, доходят до момента, когда изменяемый раздражитель впервые «начинает казаться меньше» постоянного раздражителя, с которым производится сравнение. Такое значение переменного раздражителя можно назвать ru'. Затем, уже восходящим порядком, т. е. давая последовательно более и более сильные раздражения, отправляясь вначале от «заметно меньшего», определяют значения раздражителей, при которых переменный раздражитель «перестает казаться меньше» постоянного (значение ru˝), и, наконец, такое значение переменного раздражителя, при котором он «начинает казаться больше» постоянного (значение r0˝) <>.

Ваша оценка очень важна

0
Шрифт
Фон

Помогите Вашим друзьям узнать о библиотеке

Скачать книгу

Если нет возможности читать онлайн, скачайте книгу файлом для электронной книжки и читайте офлайн.

fb2.zip txt txt.zip rtf.zip a4.pdf a6.pdf mobi.prc epub