Анатолий Геннадьевич Маклаков - Познавательные психические процессы: Хрестоматия стр 10.

Шрифт
Фон

В течение процессов питания и воспроизведения недистантные рецепторы играют важную и существенную роль. Но способность одной из частей организма реагировать на предмет, еще находящийся на известном расстоянии от него, обеспечивает некоторый интервал времени, в течение которого имеется возможность предпринять ответные предварительные действия с целью осуществить успешную попытку прийти в контакт или избежать контакта с данным предметом. Поведение животных ясно показывает, что одна группа рецепторов контролирует направление реакции (проглатывание или выбрасывание вещества, уже найденного и принадлежащего животному, т. е. уже находящегося во рту у животного); другая группа рецепторов, дистантные рецепторы, запускает и контролирует сложные реакции животного, которые предшествуют глотанию, а именно всю ту последовательность реакций, которые охватываются понятием поисков пищи. Эти реакции предшествуют и подводят к реакциям, возникающим с недистантных рецепторов. Это отношение реакций с дистантных рецепторов к реакциям с недистантных рецепторов типично.

Дистантные рецепторы дают начало реакциям предваряющим, т. е. предупредительным. Если в качестве наиболее яркой особенности большого числа реакций с непроецирующих рецепторов, рассматриваемых как органы чувствительности, является их аффективная окраска, т. е. чувство боли или переживание удовольствия, то чувство намерения представляет собой наиболее определенную сторону реакций проецирующих дистантных рецепторов, понимаемых как исследующие органы. Как причина рефлекторных движений функция этих последних характеризуется тенденцией к активации или контролю над мускулатурой животного как целого с целью вызвать перемещение тела или остановить его путем придания определенной общей установки тела. Последняя предполагает постоянство положения не только одной конечности или части ее, но требует установки от всех частей организма, обеспечивая этим позу всего тела как одного целого.

С. В. Кравков

Пороги ощущения и их измерение[3]

Различные афферентные системы, дающие нам сведения о состоянии окружающего нас внешнего мира или о состоянии нашего собственного тела, могут быть, очевидно, более или менее чувствительными к отображаемым ими явлениям, т. е. могут отображать эти явления с большей или меньшей точностью. Встает, таким образом, вопрос о различной чувствительности наших рецепторов в тех или иных условиях.

Под чувствительностью того или иного рецептора в психофизиологии можно понимать совершенно то же, что понимается под чувствительностью того или иного измерительного прибора в физике. Если мы оцениваем один гальванометр как более чувствительный по сравнению с другим, это значит, что данный гальванометр способен дать отклонение стрелки в ответ на меньший ток, чем второй гальванометр. Чувствительность того или иного органа чувств мы подобным же образом измеряем тем минимальным раздражителем, который в данных условиях оказывается способным вызывать ощущение. Такой минимальный раздражитель, вызывающий ощущение, носит название абсолютного порога ощущения.

Обозначив чувствительность буквой Е, а величину порогового раздражителя буквой R0, мы имеем, таким образом, равенство


Иными словами, чем меньше порог, тем больше чувствительность. Но посредством наших органов чувств мы можем не только констатировать наличие того или иного раздражителя, но и различать раздражители по их силе и качеству.

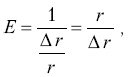
Подобная различительная чувствительность наших рецепторов, так же как и абсолютная чувствительность их, есть величина, меняющаяся в зависимости от очень многих условий. Однако для каждых данных условий мы можем и ее характеризовать количественно, измерить. Это осуществляется путем определения величины разностного порога ощущения, т. е. той минимальной разницы в раздражителях, которая нами ощущается. Чем разностный порог больше, тем различительная чувствительность меньше, и наоборот. Если обозначить различительную чувствительность буквой Е, а абсолютную величину разностного порога через Δr, то можно сказать, что


где r величина того свойства раздражителя, по отношению к которому производится оценка, а Δr то минимальное изменение этой величины, которое необходимо для возниковения у нас ощущения едва заметной разницы. Пороговые раздражители являются, таким образом, теми величинами, которые характеризуют чувствительность той или иной афферентной системы в данных условиях.

Ваша оценка очень важна

0
Шрифт
Фон

Помогите Вашим друзьям узнать о библиотеке

Скачать книгу

Если нет возможности читать онлайн, скачайте книгу файлом для электронной книжки и читайте офлайн.

fb2.zip txt txt.zip rtf.zip a4.pdf a6.pdf mobi.prc epub