Петр Васильевич Путенихин - Правила счета элементов бесконечного множества стр 3.

Книгу можно купить на ЛитРес.
Всего за 0.01 руб. Купить полную версию
Шрифт
Фон

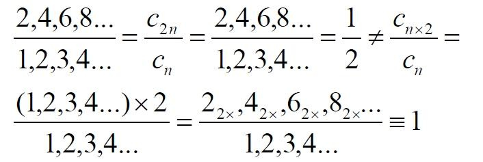
Казалось бы, последнее выражение является точной копией множества всех четных чисел М(2, 4, 6, 8). Но это ошибочно, поскольку любые действия над всеми (или отдельными) членами множества не изменяют их полного количества и, соответственно, мощности. Поэтому справедливо (знак множества M опускаем):



Хотя оба множества в числителях в обеих строках выглядят тождественно, на самом деле это разные множества, имеющие разную мощность.

Перестановки в рядах. Еще один вариант доказательства равномощности части и целого приведен в книге [2, с.282], где предлагается вести подсчет нечетных чисел, предварительно переставив их в ряду:

"В бесконечной вселенной коэффициент объема можно определить как долю, занятую областями данного типа. Но это определение приводит к неоднозначности. Чтобы проиллюстрировать природу проблемы, зададимся вопросом: какова доля нечетных чисел среди целых? Четные и нечетные числа чередуются в последовательности 1, 2, 3, 4, 5, и можно подумать, что ответом, очевидно, будет половина. Однако целые числа можно упорядочить другим способом. Например, так: 1, 2, 4, 3, 6, 8 Эта последовательность по-прежнему включает все целые числа, но теперь за каждым нечетным числом следует два четных, и кажется, что только треть целых чисел являются нечетными"

Здесь нам отчетливо видна некорректность и противоречивость такой модификации числового ряда, которая строго последовательно и логично легко доводится до абсурда. Для этого все нечетные числа поместим в самый конец бесконечной последовательности. Теперь при поверхностном анализе последовательности мы обнаружим, что в ней нечетных чисел нет вообще. Конечно, мы догадываемся, что все они где-то дальше, но, как бы долго мы ни просматривали последовательность, мы никогда не встретим в ней ни одного нечетного числа. Однако итог явно абсурден: нечетные числа точно есть, но мы их почему-то не пересчитываем. Причина заключается просто в выборе метода подсчета: игнорирование длины ряда. Мы же сами каким-то образом перенесли нечетные числа в конец ряда? Ну, так и нумеровать тогда следует весь ряд. Это же относится и к предложенному выше методу упорядочивания. Каким-то образом эти числа перетасованы? Вплоть до последнего. Ну, так и считать следует соответственно до последнего числа. Если же числа перетасовываются в процессе счета, тогда "временно вынутые из ряда нечетные числа" все время будут где-то скапливаться. Трудно будет не заметить это бесконечно большое хранилище нечетных чисел.

С другой стороны, мы можем проделать то же самое и с четными числами, например, получив в результате, что их в общем ряду только треть. Иначе говоря, один и тот же метод показывает, что среди целых чисел нечетных одновременно только половина и только две трети. Понятно, что методика, дающая два взаимоисключающих результата не вызывает доверия.

Группировка степеней. Такие методики пересчета, отождествления всегда содержат плохо скрытую подмену понятий. Например, с рядом натуральных чисел отождествляется ряд степеней 101, 102, 103 10n и так далее. Таким же образом устанавливается взаимно однозначное соответствие и между множеством натуральных чисел и множеством всех квадратов натуральных чисел 12, 22, 32, n2 и так далее. Но принять такое отождествление нет никаких оснований.

Нужно просто обратить внимание на то, что же именно отождествляется. В обоих приведенных примера сразу же можно заметить присутствие члена натурального ряда. Понятно, что отождествляются не значения членов ряда, а их порядковые номера, которые самым наглядным образом обозначены в каждом из членов рядов. До начала отождествления каждый член ряда уже имеет свой натуральный порядковый номер, а значение самого члена ряда не имеет никакого смысла. Это могут быть и летучие обезьяны с соответствующей биркой на шее, и протоны в бесконечной Вселенной, которые ещё только предстоит пометить соответствующим номером, и даже множество миров Эверетта.

Группировка в пары. Попробуем теперь просто пересчитать, перенумеровать все натуральные числа, предварительно соединив их в пары четное-нечетное число: (1,2), (3,4), (5,6), то есть, присваивая каждой паре последовательно номера 1, 2, 3, 4 и так далее. Очевидно, что каждой паре будет присвоен один номер, натуральное число. И мы получаем явное противоречие, поскольку это означает, что количество всех натуральных чисел, собранных в пары, в два раза больше количества всех натуральных чисел. Буквально, количество всех натуральных чисел в два раза больше количества всех натуральных чисел. Но натуральные числа можно группировать и тройками, пятерками, десятками и так далее.

Ваша оценка очень важна

0
Шрифт
Фон

Помогите Вашим друзьям узнать о библиотеке

Скачать книгу

Если нет возможности читать онлайн, скачайте книгу файлом для электронной книжки и читайте офлайн.

fb2.zip txt txt.zip rtf.zip a4.pdf a6.pdf mobi.prc epub ios.epub fb3