Петр Васильевич Путенихин - Правила счета элементов бесконечного множества стр 2.

Книгу можно купить на ЛитРес.
Всего за 0.01 руб. Купить полную версию
Шрифт
Фон

Количества натуральных чисел в группах

Нумерация четных чисел. Например, в одном из вариантов для доказательства равномощности предлагается записать четные числа в виде бесконечного ряда, а под этим рядом написать их порядковые номера из натурального ряда чисел [7, с.78]:



Здесь каждому четному числу соответствует один порядковый номер из натурального ряда чисел и наоборот. Значит, утверждается, число четных чисел равно числу всех чисел натурального ряда.

Но это неверно. В частности, в данном примере четные числа не являются частью ряда натуральных чисел, это совершенно самостоятельный ряд, в котором вместо четных чисел могли быть любые символы.

Ошибка состоит в некорректном способе подсчета, в котором часть элементов исходного ряда просто игнорируется, исключается из процедуры подсчета. Произведём подсчет другим, правильным способом. Возьмем ряд всех натуральных чисел и будем их считать самым обычным, привычным способом. Для этого каждое натуральное число будем класть в соответствующий ящик, и при этом называть его значение: один, два, три и так далее. Одновременно, по мере того, как нам будут встречаться эти числа, мы будем с каждым четным числом класть такую же цифру во второй ящик. И, для наглядности, с каждым нечётным в третий ящик. Ну, и для ещё большей наглядности для каждого пятого числа в четвертый ящик.

Через некоторое время посмотрим, что у нас в ящиках? Через тысячу шагов, очевидно, в первом ящике будет 1 000 чисел. Во втором и третьем по 500, а в четвертом только 200. Ну, или в виде соотношения 10:5:5:2.

Продолжим раскладывать числа и вновь проверим содержимое ящиков теперь уже через 10 000 шагов. И в этот раз мы обнаружим, что количества чисел в ящиках соотносятся как 10:5:5:2. Нужно ли доказывать, что и через миллион, и через миллиард, и через гугл шагов количества чисел в ящиках будут соотноситься как 10:5:5:2?

Если мы последовательно синхронно считаем количества чисел в натуральном ряду, то мы найдём истинное соотношение их количеств. Однако говорить, что бесконечное число всех натуральных чисел больше, чем число всех четных или нечетных чисел не совсем правильно. Эти числа образуют бесконечности, и следует говорить только об их мощности:

бесконечность всех натуральных чисел в два раза мощнее, чем бесконечности всех четных или нечетных чисел и в пять раз мощнее, чем бесконечность всех чисел, кратных пяти.

Утверждение, что часть может равняться целому ошибочно в самой формулировке. Мощность части бесконечности всегда меньше мощности всей бесконечности.

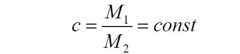
Рассмотрим приведённый выше пример в терминах мощностей. Примем без доказательства, что количество членов множества и его мощность это разные, но схожие по смыслу понятия. Мы не можем сравнивать число членов множеств, по определению равных бесконечности, но мы можем сравнивать их мощности. Отношение мощностей М1 и М2 равномощных множеств всегда равно конечному числу:



В этом случае отношение множеств (1) для четных чисел запишется в виде:



Запишем также и отношение множеств для нечетных чисел:



Далее нам понадобится и такое тождественное отношение:



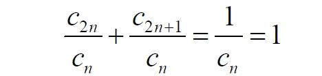
Это равенство очевидно, поскольку числитель равен знаменателю. Теперь просуммируем эти приведенные два отношения мощностей:



Очевидно, что последняя дробь содержит в числителе все целые натуральные числа:



поэтому они и равны тождественно единице.

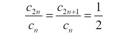
Это определённо означает, что мощности множеств всех натуральных чисел и суммы множеств всех четных и нечетных чисел равны. Но это также означает и тождественное равенство их бесконечного количества членов. Очевидно, что множества четных и нечетных чисел равномощны, поэтому, разделив полученное равенство на cn, получим:



Поэтому из равенства также следует, что каждая из мощностей четных и нечётных чисел в два раза «слабее» мощности всех натуральных чисел:



Отметим также без доказательств, что любые действия над каждым членом множества не изменяют мощности множества:



Из этого непосредственно следует, что решающее значение имеет способ, каким получено множество. Например, множество всех четных чисел может быть получено удалением из множества всех натуральных чисел нечётных или умножением на 2 каждого члена множества всех натуральных чисел:

Ваша оценка очень важна

0
Шрифт
Фон

Помогите Вашим друзьям узнать о библиотеке

Скачать книгу

Если нет возможности читать онлайн, скачайте книгу файлом для электронной книжки и читайте офлайн.

fb2.zip txt txt.zip rtf.zip a4.pdf a6.pdf mobi.prc epub ios.epub fb3