1.21. "Полюсы" и наклон в пределах октавы
Еще раз рассмотрим характеристику RС-фильтра низких частот (рис. 1.59). Вправо от точки перегиба графика выходная амплитуда убывает пропорционально 1/f. В пределах одной октавы (одна октава, как в музыке, соответствует изменению частоты вдвое) выходная амплитуда уменьшается вдвое, т. е. ослабление составляет - 6 дБ; следовательно, простой RС-фильтр обеспечивает ослабление 6 дБ/октаву. Можно конструировать фильтры, состоящие из нескольких RC-секций: тогда получим значения спада 12 дБ/октава (для двух RС-секций), 18 дБ/октава (для трех секций) и т. д. Так обычно описывают поведение фильтра на частотах, лежащих за пределами полосы пропускания. Если фильтр состоит, например, из трех RС-секций, то его часто называют "трехполюсным". (Слово "полюс" связано с методом анализа схем, который не рассматривается в этой книге. В нем используется комплексная передаточная функция на комплексной частотной плоскости, которую инженеры называют s-плоскостью.)
При работе с многокаскадными фильтрами следует учитывать одну особенность. Каждый новый каскад существенно нагружает предыдущий (так как они идентичны между собой), и это приводит к тому, что результирующая характеристика не является простой совокупностью характеристик составляющих каскадов.
Напомним, что при выводе характеристики простого RС-фильтра мы условились, что источник имеет нулевой импеданс, а нагрузка - бесконечный. Один из способов устранения влияния каскадов друг на друга состоит в том, чтобы каждый последующий каскад имел значительно больший импеданс, чем предыдущий. Еще эффективнее использовать в качестве межкаскадных буферов активные схемы на транзисторах или операционных усилителях (ОУ), т. е. строить активные фильтры. Этим вопросам посвящены гл. 2–5.
1.22. Резонансные схемы и активные фильтры
Конденсаторы, которые используются в специальных схемах, называемых активными фильтрами, а также в сочетании с индуктивностями, позволяют "заострять" частотную характеристику схемы (по сравнению с пологой характеристикой RС-фильтра характеристика такой схемы на некоторой частоте имеет большой резкий всплеск). Подобные схемы находят применение в устройствах, работающих в диапазоне звуковых частот и радиочастот. Итак, познакомимся с LC-цепями (подробному анализу этих цепей и активных фильтров посвящены гл. 5 и приложение 3).
Начнем со схемы, представленной на рис. 1.62.
![Пауль Хоровиц, Уинфилд Хилл - Искусство схемотехники. Том 1 [Изд.4-е]](/page_images/7/989acbf7d3d9176eea4fa55ff804e030.jpg)
Рис. 1.62.Резонансная LC-схема: широкополосный фильтр.
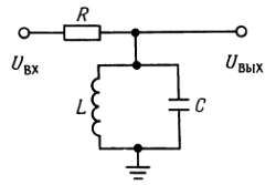
На частоте f реактивное сопротивление LC-контура равно
![Искусство схемотехники. Том 1 [Изд.4-е]](/page_images/7/f711a3fda0ac49195e81c76230724e0c.jpg)
LC-контур в сочетании с резистором R образует делитель напряжения; в связи с тем, что индуктивность и конденсатор противоположным образом реагируют на изменение частоты, импеданс параллельной LC-цепи на резонансной частоте f0 = 1/2π(LC) стремится к бесконечности - на характеристике при этом значении частоты должен наблюдаться резкий всплеск. График такой характеристики представлен на рис. 1.63.
![Пауль Хоровиц, Уинфилд Хилл - Искусство схемотехники. Том 1 [Изд.4-е]](/page_images/7/c8964e7ec27b67f9578352071289192b.jpg)
Рис. 1.63.
В действительности пик характеристики сглажен за счет потерь в индуктивности и конденсаторе, однако если схема сконструирована хорошо, то эти потери очень невелики. Если же хотят специально сгладить характеристику, то в схему включают дополнительный резистор, ухудшающий добротность контура Q. Такая схема называется параллельным резонансным LC-контуром или избирательной схемой. Она широко используется в радиотехнике для выделения из всего частотного диапазона сигналов некоторой частоты усиления (L или С могут быть переменными, и с их помощью можно настраивать резонансный контур на определенную частоту). Чем выше импеданс источника, тем острее пик характеристики; как вы вскоре убедитесь, в качестве источника принято использовать устройство типа, источника тока.
Коэффициент добротности Q позволяет оценивать характеристику контура: чем больше добротность, тем острее характеристика. Добротность равна резонансной частоте, поделенной на ширину пика, определенную по точкам -3 дБ. Для параллельной RLC-схемы Q = ω0RС.
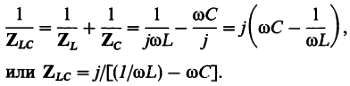
Другой разновидностью LC-схем является последовательная LC-схема (рис. 1.64).
![Пауль Хоровиц, Уинфилд Хилл - Искусство схемотехники. Том 1 [Изд.4-е]](/page_images/7/3958b77a9328165850046d6e8cfe4b46.jpg)
Рис. 1.64.Узкополосный режекторный LC-фильтр ("ловушка").
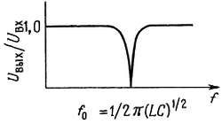
Используя выражение для импеданса, можно показать, что импеданс последовательной LC-схемы стремится к нулю на частоте f0 = 1/2π(LC); такая схема на резонансной частоте или вблизи нее как бы "захватывает" сигнал и заземляет его. Эта схема, так же как и предыдущая, применяется в основном в радиотехнике. На рис. 1.65 изображена ее характеристика. Для последовательной RLC-cхемы Q = ω0L/R.
![Искусство схемотехники. Том 1 [Изд.4-е]](/page_images/7/6bd5d0aeebaa81e53babf309339ef464.jpg)
Рис. 1.65.
Упражнение 1.26. Выведите выражение для характеристики (определяющей зависимость отношения Uвых/Uвx от частоты) схемы с последовательным LC-контуром, показанной на рис. 1.64.
1.23. Другие примеры использования конденсаторов
Конденсаторы являются необходимым компонентом не только для фильтров, резонансных, дифференцирующих и интегрирующих схем, но и для ряда других немаловажных схем. Более подробно мы поговорим об этих схемах позже, а сейчас просто ознакомимся с ними.
Шунтирование. Импенданс конденсатора уменьшается с увеличением частоты. На этом основано использование конденсатора в качестве шунта. Бывают такие случаи, что на некоторых участках схемы должно присутствовать только напряжение постоянного или медленно меняющегося тока. Если к тому участку схемы (обычно резистору) параллельно подключить конденсатор, то все сигналы переменного тока на резисторе будут устранены. Конденсатор выбирают так, чтобы его импеданс был малым для шунтируемого сигнала. В последующих главах вы встретите множество примеров шунтирования сигналов с помощью конденсатора.
Фильтрация в источниках питания. Обычно, говоря о фильтрации в источниках питания, имеют в виду накопление энергии. Практически при фильтрации происходит шунтирование сигналов. В электронных схемах обычно используют напряжение постоянного тока, которое получают путем выпрямления напряжения переменного тока сети (процесс выпрямления мы рассмотрим дальше в этой главе). Часть составляющих входного напряжения, которое имело частоту 60 (50) Гц, остается и в выпрямленном напряжении, от них можно избавиться, если предусмотреть шунтирование с помощью больших конденсаторов. Шунтирующие конденсаторы - это как раз те круглые блестящие элементы, которые можно увидеть внутри большинства электронных приборов. О том, как конструировать источники питания, мы поговорим позже в этой главе, а затем в гл. 6 еще раз вернемся к этому вопросу.
Синхронизация и генерация сигналов. Если через конденсатор протекает постоянный ток, то при заряде конденсатора формируется линейно нарастающий сигнал. Это явление используют в генераторах линейно-изменяющихся и пилообразных сигналов, в генераторах функций, схемах развертки осциллографов, в аналого-цифровых преобразователях и схемах задержки. Для синхронизации используют также RС-цепи, и на их основе строят цифровые схемы задержки (ждущие мультивибраторы). Во многих областях электроники используют конденсаторы для синхронизации и генерации сигналов, и именно об этих применениях конденсаторов вы более подробно узнаете из гл. 3, 5, 8 и 9.
1.24. Обобщенная теорема Тевенина об эквивалентном преобразовании (эквивалентном генераторе)
Для схем, включающих конденсаторы и индуктивности, теорема об эквивалентном преобразовании должна быть сформулирована следующим образом: всякая схема, имеющая два вывода и содержащая резисторы, конденсаторы, индуктивности и источники сигналов, эквивалентна цепи, представляющей собой последовательное соединение одного комплексного импеданса и одного источника сигнала. Как и прежде, эквивалентный импеданс и источник определяют по выходному напряжению разомкнутой цепи и по току короткого замыкания.