
Примечания
1. Для водонасыщенных крупных песков значения ks увеличиваются в 1,2 раза, для средних песков – в 1,3 раза, для мелких и пылеватых – в 1,5 раза.
2. Для заиленных песков значения ksпонижаются в 1,2 раза.
3. Для плотных песков значения ks понижаются в 1,2 раза, а для рыхлых– увеличиваются в 1,1 раза.
4. Для промежуточных значений показателя текучести глинистых грунтов значения ks определяются интерполяцией.
5. При слоистом напластовании грунтов коэффициент ksопределяется как средневзвешенный по глубине.
Необходимое значение минимальной вынуждающей силы вибропогружателя F0 окончательно принимается не ниже 1,3Gn при погружении свай-оболочек (с извлечением грунта из внутренней полости в ходе погружения) и 2,5 Gn – при погружении полых свай без извлечения грунта.
По принятой необходимой вынуждающей силе следует подбирать тот вибропогружатель наименьшей мощности, у которого статический момент массы дебалансов Km (или промежуточное значение Km для вибропогружателя с регулируемыми параметрами), кг м, удовлетворяет условию:
Кm≥ МсА0/100,
где Мс – суммарная масса вибропогружателя, сваи и наголовника, кг;
А0 – необходимая амплитуда колебаний при отсутствии сопротивлений грунта, см, принимаемая по табл. 2.31.
Таблица 2.31. Необходимая амплитуда колебаний при отсутствии сопротивлений грунта

Примечание. При выборе типа вибропогружателя для заглубления полых свай и свай-оболочек с извлечением грунта из внутренней полости указанные значения А0 понижаются в 1,2 раза. При слоистом напластовании грунтов значение А0 принимается для слоя самого тяжелого грунта из числа прорезаемых слоев.
При окончательном выборе типа вибропогружателя следует учитывать, что при равной вынуждающей силе большей погружающей способностью обладает вибропогружатель с большим статическим моментом массы дебалансов Km, а при прочих равных условиях надлежит выбирать вибропогружатель с регулируемыми в процессе работы параметрами.
Для погружения тяжелых свай-оболочек допускается предусматривать использование спаренных вибропогружателей. В этом случае их моменты дебалансов суммируются.
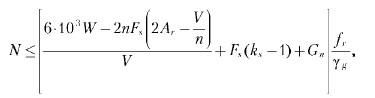
В конце вибропогружения висячего свайного элемента при скорости вибропогружения V в последнем залоге не менее 2 см/мин должно удовлетворяться условие:

где N – расчетная нагрузка на свайный элемент, кН;
W – мощность, расходуемая на движение вибросистемы, кВт определяемая по формуле
W = ηWh – W0
здесь η – КПД электродвигателя, принимаемый по паспортным данным в размере 0,83-0,90 в зависимости от нагрузки;
Wh – потребляемая из сети активная мощность в последнем залоге, кВт;
W0 – мощность холостого хода, принимаемая при отсутствии паспортных данных равной 25 % номинальной мощности вибропогружателя, кВт;
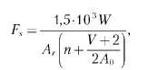
Fs– боковое сопротивление грунта при вибропогружении, кН, определяемое по формуле

здесь n – фактическая частота колебаний вибросистемы, мин(-1);
Ar – фактическая амплитуда колебаний, принимаемая равной по ловине полного размаха колебаний свайного элемента на последней минуте погружения, см;
A0 – расчетная амплитуда колебаний вибросистемы без сопротивлений, см, определяемая по формуле
![]()
здесь Km – статический момент массы дебалансов вибропогружателя, кг м, в последнем залоге;
Mc – суммарная масса вибросистемы, кг;
ks– коэффициент снижения бокового сопротивления грунта во время вибропогружения, принимаемый по табл. 2.31;
Gn – вес вибросистемы, равный суммарному весу сваи, наголовника и вибропогружателя, кН;
fr– коэффициент влияния инерционных и вязких сопротивлений на несущую способность сваи, принимаемый по табл. 2.32;
γг – коэффициент надежности по грунту, принимаемый равным 1,4.
Таблица 2.32. Коэффициент влияния инерционных и вязких сопротивлений на несущую способность сваи

Примечание. При прорезании сваей слоистых грунтов коэффициент f определяется как средневзвешенный.
Контроль за погружением свай методом вдавливания следует осуществлять по глубине погружения и усилию вдавливания N. В конце погружения, когда нижний конец сваи достиг отметок, близких к проектным, прекращать погружение сваи допускается при условии

где N – усилие вдавливания, кН;
kg – коэффициент надежности, принимаемый равным 1,2;
Fd – несущая способность сваи, кН, указанная в проекте;
m – коэффициент условий работы, принимаемый при отсутствии опытных данных равным 0,9.
Величину коэффициента m допускается уточнять по результатам статических испытаний свай.
Дополнительные меры, облегчающие погружение свай и шпунта (подмыв, лидерные скважины и др.), следует применять по согласованию с проектной организацией при отказе забиваемых элементов менее 0,2 см или скорости вибропогружения менее 5 см/мин.
Подмыв при свайных работах
Применение подмыва для облегчения погружения свай допускается на участках, удаленных не менее чем на 20 м от существующих зданий и сооружений, и не менее удвоенной глубины погружения свай.
В конце погружения подмыв следует прекратить, после чего сваю необходимо допогрузить молотом или вибропогружателем до получения расчетного отказа без применения подмыва.
Не допускается погружение свай сечением до 40х 40 см на расстоянии менее 5 м, шпунта – 1 м и полых круглых свай диаметром до 0,6 м – 10 м до подземных стальных трубопроводов с внутренним давлением не более 2 МПа. Погружение свай и шпунта около подземных трубопроводов с внутренним давлением свыше 2 МПа или на меньших расстояниях можно производить только с учетом данных обследования и при соответствующем обосновании в проекте.
При применении для погружения свай и шпунта молотов или вибропогружателей вблизи существующих зданий и сооружений необходимо оценить опасность для них динамических воздействий, исходя из влияния колебаний на деформации грунтов оснований, технологические приборы и оборудование, а также допустимости уровня колебаний по санитарным нормам.
Оценку влияния динамических воздействий на деформации оснований, сложенных горизонтальными, выдержанными по толщине слоями песка (допускается уклон не более 0,2), кроме водонасыщенных мелких и пылеватых, можно не производить. Это допустимо при забивке свай молотами массой до 7 т на расстоянии до зданий и сооружений свыше 15 м, при вибропогружении свай – на расстоянии 25 м и шпунта – на расстоянии 10 м. В случае необходимости погружения свай и шпунта на меньших расстояниях до зданий и сооружений должны быть приняты меры по уменьшению уровня и непрерывной продолжительности динамических воздействий. Такими мерами считаются погружение свай в лидерные скважины, снижение высоты подъема молота, чередующаяся забивка ближайших и более удаленных свай от зданий и др. и проведение геодезических наблюдений за осадками зданий и сооружений.