
Примечание. При погружении свай любого типа с подмывом, а также свай из стальных труб с открытым нижним концом указанные значения коэффициентов увеличиваются в 1,5 раза.
При забивке наклонных свай расчетную энергию у дара молота Eh следует определять с учетом повышающего коэффициента, значение которого принимается по табл. 2.27.
Таблица 2.27. Повышающий коэффициент расчетной энергии удара молота

При выборе молота для забивки стального шпунта значение N определяют расчетом так же, как и для сваи, причем значения коэффициентов условия работ γx, γxP и γz+ при этом расчете следует принимать равными 1.
Выбранный в соответствии с рекомендациями молот надлежит проверить на минимально допустимый отказ свайного элемента smin, который принимается равным минимально допустимому отказу для данного типа молота, указанному в его техническом паспорте, но не менее 0,002 м при забивке свай и не менее 0,01 м при забивке шпунта.
Выбор молота при забивке свай длиной свыше 25 м или с расчетной нагрузкой на сваю более 2000 кН производится расчетом, основанным на волновой теории удара.
Забивку свай до проектных отметок следует выполнять, как правило, без применения лидерных скважин и без подмыва путем использования соответствующего сваебойного оборудования. Применение лидерных скважин допускается только в тех случаях, когда для погружения свай до проектных отметок требуются молоты с большой массой ударной части, а также при прорезке сваями просадочных грунтов.
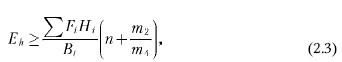
Значение необходимой энергии удара молота Eh, кДж, обеспечивающей погружение свай до проектной отметки без дополнительных мероприятий, следует определять по формуле:

где Fi – несущая способность сваи в пределах г'-го слоя грунта, кН;
Hi– толщина i-го слоя грунта, м;
B – число ударов молота в единицу времени, ударов в 1 мин;
t – время, затраченное на погружение сваи (без учета времени подъемно-транспортных операций);
Bt – число ударов молота, необходимое для погружения сваи, принимаемое обычно равным не более 500 ударов;
n – параметр, принимаемый равным 4,5 при паровоздушных механических и штанговых дизель-молотах и 5,5 при трубчатых дизель-молотах;
m2 – масса сваи, т;
m4 – масса ударной части молота, т.
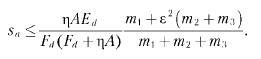
Значение контрольного остаточного отказа sa, м, при забивке и добивке железобетонных и деревянных свай длиной до 25 м в зависимости от энергии удара Ed выбранного молота и несущей способности сваи Fd, указанной в проекте, должно удовлетворять следующему условию:

Примечание. При забивке свай через грунт, подлежащий удалению в результате последующей разработки котлована, или через грунт для водотока значение расчетного отказа следует определять исходя из несущей способности свай, вычисленной с учетом неудаленного или подверженного возможному размыву грунта, а в местах вероятного проявления отрицательных сил трения – с учетом последнего.
Расчетный отказ для железобетонных свай длиной свыше 26 м, а также для стальных трубчатых свай следует определять расчетом, основанным на волновой теории удара.
При выборе молота для забивки шпунта и при назначении режима его работы по высоте падения ударной части необходимо соблюдать условие:

где C – вес ударной части молота, МН;
A – площадь поперечного сечения шпунта, м;
Kf – безразмерный коэффициент, принимаемый по табл. 2.28 в зависимости от типа шпунта и расчетного сопротивления шпунтовой стали по пределу текучести;
Km – коэффициент, принимаемый по табл. 2.29 в зависимости от типа молота и высоты падения его ударной части.
Таблица 2.28. Безразмерный коэффициент, принимаемый в зависимости от типа шпунта и расчетного сопротивления шпунтовой стали по пределу текучести

Таблица 2.29. Коэффициент, принимаемый в зависимости от типа молота и высоты падения его ударной части

Примечания
1. Расчетное сопротивление шпунтовой стали по пределу текучести принимается согласно СНиП II-23-81.
2. Для промежуточных значений сопротивлений шпунтовой стали и высот падения ударной части значения коэффициентов Kf и Km в табл. 2.28 и 2.29 определяются интерполяцией.
При проверке контрольных отказов в случаях, когда в проекте дана только расчетная нагрузка на сваю N, кН, несущую способность сваи Fd, кН, следует принимать равной:
Fd = γkN,
где γк – коэффициент надежности.
γk = 1,4 для всех зданий и сооружений, кроме мостов, если в проекте нет других указаний.
Выбор типа вибропогружателя для погружения свайных элементов
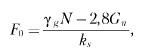
Значение необходимой вынуждающей силы вибропогружателя F0, кН, определяется по формуле:

где γg – коэффициент надежности по грунту, принимаемый равным 1,4;
N – расчетная нагрузка на свайный элемент по проекту, кН, а в случае погружения свайных элементов до расчетной глубины – соответствующее этой глубине сопротивление углублению в грунт свайного элемента по проекту;
Gn – суммарный вес вибросистемы, включая вибропогружатель, свайный элемент и наголовник, кН;
ks– коэффициент снижения бокового сопротивления грунта во время вибропогружения, принимаемый по табл. 2.30.
Таблица 2.30. Коэффициент снижения бокового сопротивления грунта во время вибропогружения