
Значение расчетного наибольшего сопротивления:
ZН РАСЧ = 2 × 0,05 + 2 × 0,8 / (12,5) + 0,5 / (2,5) + 0,4 + 0,1 = 0,7 Ом.
Это значение (0,7 Ом) меньше допустимого (4,6 Ом). Следовательно, режим работы ТТ в защите, установленной на линии W3 на подстанции № 3, соответствует требованиям, при выполнении которых полная погрешность ТТ не превысит 10 %.
Определяется предельная кратность тока для ТТ на подстанции № 2:
k10 = I1РАСЧ / I1НОМ ТТ = 1,1 × ICЗ W33-1 / I1НОМ ТТ = 1,1 × 3530 / 500 = 7,8.
По кривым предельной кратности для ТФНД-35М (прил. 5) определяется максимальное значение сопротивления нагрузки ТТ - 4 Ом.
Расчетное наибольшее сопротивление нагрузки ТТ:
ZH РАСЧ = 2 × RПР + 2 × ZPT-40/50 + ZPT-40/10 + ZРБМ 171 + RПEР.
Значение расчетного наибольшего сопротивления:
ZН РАСЧ = 2 × 0,05 + 0,8 / (12,5) + 0,5 / (2,5) + 0,4 + 0,1 = 0,69 Ом.
Это значение (0,69 Ом) меньше допустимого (4 Ом). Следовательно, режим работы ТТ в защите, установленной на линии W3 на подстанции № 2, также соответствует требованиям, при выполнении которых полная погрешность ТТ не превысит 10 %.
Таким образом, решения, принятые при выборе схем защит, устанавливаемых на линии W3, ТТ и реле, можно считать приемлемыми.
Определяется длина мертвой зоны направленной защиты при близких КЗ при питании со стороны подстанции № 2:

где SCP MIN - минимальная мощность срабатывания реле при токе в линии при трехфазном КЗ на границе мертвой зоны (для приближенных расчетов его значение можно принять равным значению тока КЗ в месте установки направленной защиты при повреждении в расчетной точке К2);
α = (90° - γн) - угол, дополняющий γн до 90° (для РБМ-171/1 равен 45°);

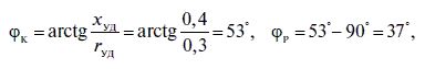
Для выбранной 90-градусной схемы включения реле направления мощности (φР = φК - 90°):

где хУД и rУД - удельное индуктивное и активное сопротивления линии W3 (хУД = 0,4 Ом/км и rУД = 0,3 Ом/км).
Полное удельное сопротивление линии:
![]()
Мощность срабатывания реле при номинальном токе равна 4 ВА [9].
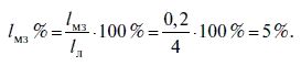
Длина мертвой зоны при токе, превышающем номинальный в 10 раз:

По отношению к длине всей линии в процентах это составляет:

Расчетная длина мертвой зоны для защиты, установленной на линии W3 на подстанции № 3, также не превышает 5 % длины линии.
Учитывая, что при КЗ в этих зонах (со стороны подстанций № 2 и № 3) должны срабатывать соответствующие первые ступени защит - ненаправленные селективные токовые отсечки, можно считать протяженность мертвых зон приемлемой.
3.4.8. Защита, устанавливаемая на линии W1
На головной линии 35 кВ W1 на подстанции № 1 должна быть установлена трехступенчатая токовая защита.
Ток срабатывания первой ступени (селективной токовой отсечки):
![]()
Проверяется отстройка от бросков тока намагничивания трансформаторов:
IСЗ W1-1 ≥ (4–5) × (IНОМ Т1 ВН + IНОМ Т2 ВН + IНОМ Т3 ВН) =
= (4–5) × 495 = (1980–2475) А < 4420 А.
Отстройка обеспечивается.
Выбираются ТТ типа ТФНД-35М с коэффициентом трансформации kТ = 1000/5. Схема соединения вторичных обмоток ТТ и катушек реле - "неполная звезда - неполная звезда".
Ток срабатывания реле первой ступени:

Выбирается реле РТ-40/50.
Определяется зона действия первой ступени защиты (рис. 3.18). Протяженность этой зоны составляет 60 % длины линии W1.
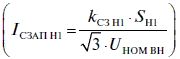
Ток срабатывания второй ступени (токовой отсечки с выдержкой времени срабатывания) выбирается по условию отстройки от токов КЗ при повреждениях в конце зоны действия быстродействующей защиты трансформатора Т2 и первой ступени защиты линии W3:

В этих условиях необходимо принять:
IC3 W1-2 = 4030 А.
Ток срабатывания реле второй ступени:

Для второй ступени защиты выбирается реле РТ-40/50.
Выдержка времени второй ступени защиты должна быть согласована с временем срабатывания быстродействующих защит, установленных на трансформаторе Т2, линии W3 и линии W4:
tСЗ W1-2 = tСЗ W32-1 + Δt = 0,1 + 0,4 = 0,5 с.

Третья ступень защиты - МТЗ. Ее ток срабатывания выбирается по условию возврата защиты в исходное состояние в наиболее тяжелом для линии W1 послеаварийном режиме. Этот режим может возникнуть при самозапуске электродвигателей всех нагрузок в сети (Н1-Н5), если в исходном нормальном режиме трансформаторы Т1, Т2 и Т3 получают питание по линии W1 (линия W2 выведена из работы, а секционный выключатель Q15 на подстанции № 3 включен). В этих условиях, в случае отключения головной линии W1, последующего ее включения устройством АПВ и восстановления питания на шинах 35 кВ подстанций № 3 и 2, в линии W1 может возникнуть наибольший ток:

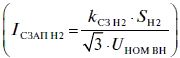
Здесь IСЗАП W1 - ток в линии W1 в месте установки защиты, обусловленный самозапуском электродвигателей в нагрузке Н1:

нагрузке Н2:

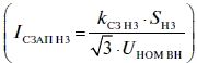
нагрузке Н3:

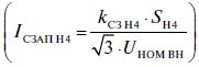
нагрузке Н4:

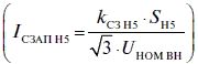
нагрузке Н5:

и приведенный к стороне 35 кВ
Ток срабатывания третьей ступени:

При этом защита отстроена от максимального рабочего тока в линии W1, и можно принять:
IСЗ W1-3 = 1022 А.
Ток срабатывания реле третьей ступени защиты:
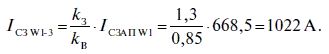
IСP W1-3 = kCX × IСЗ W1-3 / kT = 1022 / 200 = 5,1 А.
Коэффициент чувствительности третьей ступени защиты в режиме основного действия:
![]()
Здесь