
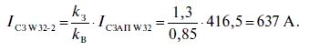
Ток срабатывания второй ступени:

Ток срабатывания реле второй ступени:
ICP W32-2 = kCX × IСЗ W32-2 / kT = 637 / 100 = 6,4 А.
Коэффициент чувствительности второй ступени защиты для основного действия:
![]()
Здесь
![]()
- ток в месте установки защиты при двухфазном КЗ в расчетной точке К4 и питании со стороны подстанции № 2, приведенный к стороне 35 кВ.
Как видно, вторая ступень защиты имеет достаточную чувствительность.
Для второй ступени защиты выбирается реле тока РТ-40/10 с диапазоном уставок от 2,5 А до 10 А.
Выдержка времени защиты должна быть согласована с выдержкой времени срабатывания защиты, установленной на трансформаторе Т2:
tСЗ W32-2 = tСЗ T2 + Δt = 2 + 0,5 = 2,5 с.
Реле времени для второй ступени защиты линии W3 - ЭВ-132 с диапазоном выдержек времени от 0,5 до 9 с и номинальным напряжением питания 220 В.
Промежуточные реле - РП-221 с номинальным напряжением питания 220 В.
Указательные реле - РУ-21/0,01.
Реле направления мощности - РБМ-171 (включается по 90-градусной схеме).
Выбираются параметры защиты, устанавливаемой на линии W3 на подстанции № 3. Эта защита должна действовать при питании по линии W3 подстанции № 2, когда линия W2 выведена из работы и секционный выключатель Q15 на подстанции № 3 включен. Эту защиту целесообразно выполнить трехступенчатой, чтобы за счет второй ступени получить достаточно высокое быстродействие при КЗ на линии в мертвой зоне первой ступени защиты.
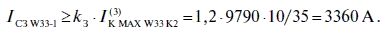
Ток срабатывания первой ступени защиты (селективной токовой отсечки):
![]()
Графическим путем определяется зона действия первой ступени (рис. 3.16, б). Она так же, как и у первой ступени защиты, на стороне подстанции № 2 составляет 0 % длины линии. Тем не менее ее целесообразно использовать.
Выбираются ТТ для релейной защиты на линии W3 (подстанция № 3) - типа ТФНД-35 класса Р с коэффициентом трансформации 500/5 и схема соединения вторичных обмоток ТТ и катушек реле "неполная звезда - неполная звезда".
Ток срабатывания реле первой ступени:

Для первой ступени защиты выбирается реле РТ-40/50.
Ток срабатывания второй ступени (токовой отсечки с выдержкой времени срабатывания) выбирается по условию отстройки от тока КЗ при повреждении в конце зоны действия быстродействующей защиты трансформатора Т1:
![]()
Ток срабатывания реле второй ступени:

Для второй ступени защиты выбирается реле РТ-40/50.
Выдержка времени второй ступени защиты должна быть согласована со временем срабатывания быстродействующей защиты, установленной на трансформаторе Т1:
tСЗ W33-2 = tСЗ T1-0 + Δt = 0,1 + 0,4 = 0,5 с.
Ток срабатывания третьей ступени (МТЗ) выбирается по условию возврата защиты в исходное состояние при наибольшем токе самозапуска, возникающем в линии W3. Режим с наибольшим током самозапуска в линии W3 может возникнуть после отключения головной линии W1, последующего ее включения устройством АПВ на подстанции № 1 и восстановления питания на шинах 35 кВ подстанции № 3.
Ток самозапуска равен:

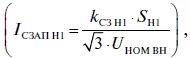
Здесь IC 3АП W33 - ток в линии W3 в месте установки защиты, обусловленный самозапуском электродвигателей в нагрузке Н1:

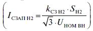
нагрузке Н2:

и в линии W6:

приведенный к стороне 35 кВ;
SW6 и kСЗ W6 - максимальная мощность, передаваемая по линии W6 (сумма номинальных мощностей трансформаторов Т4, Т5, Т6), и общий коэффициент самозапуска для нагрузок этой линии (можно принять kС3 W6 = 1,2).
Ток срабатывания третьей ступени защиты:

Ток срабатывания реле третьей ступени:
ICP W33-3 = kCX × IСЗ W33-32 / kT = 396 / 100 = 4 А
Коэффициент чувствительности третьей ступени защиты в режиме основного действия:
![]()
![]()
Как видно, третья ступень защиты имеет достаточную чувствительность.
Для третьей ступени защиты выбирается реле тока РТ-40/10 с диапазоном уставок от 2,5 А до 10 А.
Выдержка времени защиты должна быть согласована с выдержкой времени срабатывания защиты, установленной на трансформаторе Т1:
tСЗ W33-2 = tСЗ T1 + Δt = 6 + 0,5 = 6,5 с.
Реле времени для третьей ступени защиты линии W3 - ЭВ-132 с диапазоном выдержек времени от 0,5 до 9 с и номинальным напряжением питания 220 В.
Промежуточные реле - РП-221 с номинальным напряжением питания 220 В.
Указательные реле - РУ-21/0,01.
Реле направления мощности - РБМ-171 (включается по 90-градусной схеме).
Схема двухступенчатой токовой направленной защиты, устанавливаемой на линии W3 на подстанциях № 2 и № 3, показана на рис. 3.17.
Производится проверка ТТ на 10 %-ную погрешность.
Определяется предельная кратность тока для ТТ на подстанции № 3:
k10 = I1РАСЧ / I1НОМ ТТ = 1,1 × ICЗ W33-1 / I1НОМ ТТ = 1,1 × 3360 / 500 = 7,3.
По кривым предельной кратности для ТФНД-35 (прил. 5) определяется максимальное значение сопротивления нагрузки ТТ - 4,6 Ом.
Расчетное наибольшее сопротивление нагрузки ТТ:
ZH РАСЧ = 2 × RПР + 2 × ZPT-40/50 + ZPT-40/10 + ZРБМ 171 + RПEР.
Здесь

- сопротивление реле РТ-40 при минимальной уставке; SР и ICPMIN - расчетная мощность реле и минимальный ток срабатывания реле (для реле РТ-40/50 SP = 0,8 ВА, ICP MIN = 12,5 А; для реле РТ-40/10 SP = 0,5 ВА, ICP MIN = 2,5 А); ZРБМ 171 - сопротивление токовой катушки реле РБМ-171 (ZРБМ = 0,4 Ом) [9]; RПР - активное сопротивление проводников в сигнальном кабеле (можно принять RПР = 0,05 Ом); RПЕР - активное сопротивление переходных контактов (можно принять RПЕР = 0,1 Ом).