
Значения сопротивлений всех трансформаторов, определенные аналогично, приведены в табл. 3.5.
Внутреннее сопротивление эквивалентного источника питания (энергосистемы) определяется так:

Таблица 3.5


В исходных данных задано только одно значение мощности КЗ на шинах подстанции № 1, поэтому можно считать внутреннее сопротивление энергосистемы постоянной величиной.
3.3.2. Расчет токов короткого замыкания
Значения токов КЗ определяются по методике расчета токов при симметричных замыканиях без учета подпитки со стороны нагрузок. Для конкретных расчетных условий составляется отдельная схема замещения на основе схемы электрической сети (см. рис. 3.1) и исходной схемы замещения (см. рис. 3.2).

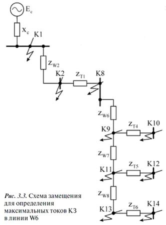
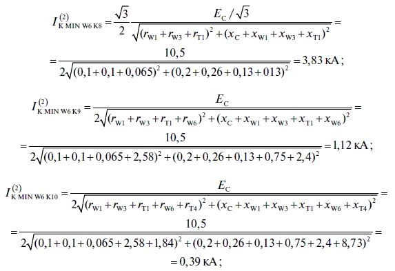
Расчетная схема замещения для определения токов КЗ в начале линии W6 (место установки защиты) в максимальном режиме энергосистемы показана на рис. 3.3.
Схема соответствует конфигурации сети, когда питание подстанции № 2 осуществляется по линии W2. Значения максимальных токов в начале линии W6 при повреждениях (трехфазных КЗ) в разных точках (номер расчетной точки указан в индексе обозначения тока) определяются так:

Минимальные аварийные токи в месте установки защиты в начале линии W6 возникают при двухфазных КЗ в контролируемой сети в минимальном режиме работы энергосистемы. Расчетная схема замещения для определения этих токов показана на рис. 3.4.

Схема соответствует другой конфигурации электрической сети, при которой питание подстанции № 2 осуществляется по линиям W1 и W3 через подстанцию № 3 (при выведенной из рабочего состояния линии W2). Значения минимальных токов в начале линии W6 при повреждениях (двухфазных КЗ) в расчетных точках (номер расчетной точки также указан в индексе обозначения тока) определяются так:


Обмотки 0,4 кВ трансформаторов Т4, Т5, Т6 работают в трехфазной электрической сети с глухозаземленной нейтралью. В этой сети возможны еще и однофазные КЗ. Токи в линии W6 при этих КЗ могут иметь меньшие значения, чем при двухфазных замыканиях. Поэтому дополнительно необходимо определить значения токов при однофазных КЗ за трансформаторами Т4, Т5, Т6. Эти токи на стороне 0,4 кВ с учетом переходного сопротивления в месте повреждения и эквивалентного сопротивления питающей электрической сети определяются так [11]:

Здесь
![]()
- значения токов в фазных выводах обмоток 0,4 кВ трансформаторов Т4, Т5, Т6 при однофазных КЗ на зажимах этих обмоток соответственно;
![]()
- полные сопротивления трансформаторов Т4, Т5, Т6 соответственно при однофазных КЗ, учитывающие переходные сопротивления в месте повреждения и эквивалентное сопротивление электрической сети от источника питания до трансформатора.
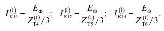
Токи в линии W6 на стороне 10 кВ при однофазных замыканиях за трансформаторами Т4, Т5, Т6 в точках К10, К12, К14 соответственно можно определить так:

Здесь NT4, NT5, NT6 - номинальные коэффициенты трансформации трансформаторов Т4, Т5, Т6 соответственно (NT4 = NT5 = NT6 = 10,5/0,4 = 25).
Подставив значения параметров (ZТ4 = 31,68 МОм; ZТ5 = ZТ6 = 40,1 МОм [11] и Еф = 230 В), будем иметь:

Токи, возникающие при КЗ в местах установки других защит, определяются по аналогичной методике. Для их расчета необходимо использовать еще и другие схемы замещения рассматриваемой электрической системы, которые показаны на рис. 3.5 и 3.6. Значения токов КЗ приведены в табл. 3.6.
3.4. Выбор защит и расчет их уставок
3.4.1. Защита трансформаторов Т4, Т5, Т6
Трансформаторы 10/0,4 кВ мощностью до 0,63 МВ-А подключаются к электрической сети через предохранители. Предохранители для трансформаторов выбираются по следующим условиям:
номинальное напряжение предохранителя должно соответствовать номинальному напряжению сети;
номинальный ток предохранителя должен быть больше максимального рабочего тока трансформатора;
номинальный ток отключения предохранителя должен быть больше максимального тока КЗ в месте установки предохранителя;
предохранитель не должен срабатывать при бросках тока намагничивания при подключении трансформатора к питающей сети в режиме холостого хода.

Первому условию удовлетворяют предохранители типа ПКТ. Максимальные рабочие токи трансформаторов определяются с учетом допустимой перегрузки:

Здесь IНОМ Т4 = SНОМ Т4 / (√3 × UНОМ Т5) = 36,4 A IНОМ Т5 = IНОМ Т6 =
= SНОМ Т5 / (√3 × UНОМ BH) = 23,1 A - номинальные токи трансформаторов Т4, Т5, Т6, соответственно; kПЕР - коэффициент допустимой перегрузки трансформаторов (для большинства отечественных трансформаторов допускается перегрузка до 40 % номинальной мощности, поэтому можно принять kПЕР = 1,4).
Тогда IРАБ МАХ Т4 = 50,9 A; IРАБ МАХ Т5 = IРАБ МАХ Т6 = 32,3 A.
Для отстройки от бросков тока намагничивания трансформатора необходимо иметь номинальный ток плавкой вставки в 1,5–2 раза больше номинального тока трансформатора [3].
Учитывая это, для трансформатора Т4 можно выбрать предохранители типа ПКТ-10 с номинальным током 80 А, а для трансформаторов Т5 и Т6 - ПКТ-10 с номинальным током 50 А.
Максимальные токи КЗ в местах установки предохранителей не превышают 1,3 кА, поэтому можно выбрать предохранители с номинальным током отключения 12,5 кА.
Таблица 3.6

Окончание табл. 3.6

Принятые параметры соответствуют рекомендациям проектных и эксплуатирующих предприятий (см. прил. 4).