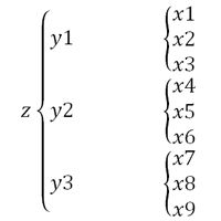
Миры, представленные в "April March", не являются регрессивными, регрессивен способ изложения. Регрессивен и разветвлен, как я уже сказал. Произведение состоит из тридцати глав. В первой приводится двусмысленный диалог двух неизвестных на перроне. Во второй излагаются события, происшедшие накануне действия первой. Третья глава, также ретроспективная, излагает события другого возможного кануна первой главы; четвертая глава - события третьего возможного кануна. Каждый из трех канунов (которые друг друга полностью взаимоисключают) разветвляется еще на другие три кануна, совершенно различные по типу. В целом произведение состоит из трех длинных глав по три новеллы в каждой. (Первая глава, разумеется, общая для всех прочих.) Из этих новелл одна имеет характер символический, другая - сверхъестественный, третья - детективный, еще одна - психологический и т. д. Понимание этой структуры, возможно, облегчит следующая схема:

О структуре же можно повторить то, что сказал Шопенгауэр о двенадцати Кантовых категориях: здесь все принесено в жертву страсти к симметрии. Как можно предвидеть, некоторые из девяти рассказов недостойны пера Куэйна; лучший - не тот, что был задуман первым, а именно х 4, но рассказ фантастического характера х 9. Другим вредят скучные шутки и ненужные псевдоподробности. Те, кто станет их читать в хронологическом порядке (например: х 3, у 1, z), не почувствуют особый смак этой странной книги. Два рассказа - х 7, х 8 - не имеют самостоятельной ценности, их эффект обнаруживается при сопоставлении… Не знаю, следует ли упоминать о том, что, уже опубликовав "April March", Куэйн разочаровался в троичной системе и предсказал, что будущие его подражатели изберут систему двоичную:

а демиурги и боги - бесконечную: бесконечные, бесконечно разветвляющиеся истории.
Совсем иная - но также ретроспективная - героическая комедия в двух актах "The Secret Mirror". В рассмотренных выше произведениях формальная сложность тормозила воображение автора; здесь оно развертывается более свободно. Действие первого акта (самого длинного) происходит в загородном доме генерала Трейла, С. I. Е., вблизи Мелтон-Маубрей. Невидимый центр драмы - мисс Ульрика Трейл, старшая дочь генерала. Несколько диалогов рисуют нам ее как надменную амазонку; мы подозреваем, что литературой она не интересуется; газеты объявляют о ее помолвке с герцогом Ретлендом; газеты опровергают слух о помолвке. Ульрику обожает драматург Уилфред Куорлс, которому она подарила несколько мимолетных поцелуев. Действующие лица - люди знатные, с большим состоянием; страсти - благородные, хотя и бурные; диалог как бы балансирует между пышным пустословием Булвер-Литтона и эпиграммами Уайльда или м-ра Филиппа Гедальи. Есть там и соловей, и ночь; есть тайная дуэль на террасе. (Кое-где проглядывают то забавное противоречие, то какие-то грязные подробности.) Персонажи первого акта снова появляются во втором - под другими именами. "Драматург" Уилфред Куорлс - теперь коммивояжер из Ливерпуля; его настоящее имя Джон Уильям Куигли. Мисс Трейл - та существует; Куигли никогда ее не видел, однако с болезненной страстью коллекционирует ее портреты из "Тэтлера" или "Скетча". Куигли - автор первого акта. Неправдоподобный или невероятный "загородный дом" - это преображенный им и возвеличенный еврейско-ирландский пансион, где он живет… Сюжеты обоих актов параллельны, но во втором все немного мерзко, все снижено, опош-лено. После премьеры "The Secret Mirror" критика называла имена Фрейда и Жюльена Грина. Упоминание первого, на мой взгляд, совершенно неоправданно.
О пьесе "The Secret Mirror" пошла слава как о фрейдистской комедии; это благоприятное (и ложное) толкование определило ее успех. К сожалению, Куэйну тогда уже исполнилось сорок лет, он привык к атмосфере неудач и не мог так просто примириться с переменой климата. Он решил отомстить. В конце 1939 года он опубликовал "Statements" - возможно, самую оригинальную из своих книг, но, бесспорно, меньше всего снискавшую похвал и самую загадочную.
Куэйн любил говорить, что читатели - это вымершая порода. "Нет такого европейца, - рассуждал он, - который не был бы писателем, потенциальным или действительным". Он также утверждал, что величайшее счастье, которое может доставить литература, заключается в возможности изобретать. Так как не всем это счастье дано, многим-де придется довольствоваться его подобием. Для таких "не вполне писателей", коим имя легион, Куэйн сочинил восемь рассказов книги "Statements". В каждом намечен или обещан хороший сюжет, умышленно автором испорченный. В одном - не лучшем - подсказаны два сюжета. Читатель в порыве тщеславия думает, будто он их изобрел. Из третьего рассказа, "The Rose of Yesterday", я, ничтоже сумняшеся, взял сюжет "В кругу развалин", одного из рассказов книги "Сад расходящихся тропок".
1941
Вавилонская библиотека
By this art you may contemplate the variation of the 23 letters…
The Anatomy of Melancholy, part 2, sect. II, mem. IV
Вселенная - некоторые называют ее Библиотекой - состоит из огромного, возможно, бесконечного числа шестигранных галерей, с широкими вентиляционными колодцами, огражденными невысокими перилами. Из каждого шестигранника видно два верхних и два нижних этажа - до бесконечности. Устройство галерей неизменно: двадцать полок, по пять длинных полок на каждой стене; кроме двух: их высота, равная высоте этажа, едва превышает средний рост библиотекаря. К одной из свободных сторон примыкает узкий коридор, ведущий в другую галерею, такую же, как первая и как все другие. Налево и направо от коридора два крохотных помещения. В одном можно спать стоя, в другом - удовлетворять естественные потребности. Рядом винтовая лестница уходит вверх и вниз и теряется вдали. В коридоре зеркало, достоверно удваивающее видимое. Зеркала наводят людей на мысль, что Библиотека не бесконечна (если она бесконечна на самом деле, зачем это иллюзорное удвоение?); я же предпочитаю думать, что гладкие поверхности выражают и обещают бесконечность… Свет дают округлые стеклянные плоды, которые носят название ламп. В каждом шестиграннике их две, по одной на противоположных стенах. Неяркий свет, который они излучают, никогда не гаснет.
Как все люди Библиотеки, в юности я путешествовал. Это было паломничество в поисках книги, возможно каталога каталогов; теперь, когда глаза мои еле разбирают то, что я пишу, я готов окончить жизнь в нескольких милях от шестигранника, в котором появился на свет. Когда я умру, чьи-нибудь милосердные руки перебросят меня через перила, могилой мне станет бездонный воздух; мое тело будет медленно падать, разлагаясь и исчезая в ветре, который вызывает не имеющее конца падение. Я утверждаю, что Библиотека беспредельна. Идеалисты приводят доказательства того, что шестигранные помещения - это необходимая форма абсолютного пространства или, во всяком случае, нашего ощущения пространства. Они полагают, что треугольная или пятиугольная комната непостижимы. (Мистики уверяют, что в экстазе им является шарообразная зала с огромной круглой книгой, бесконечный корешок которой проходит по стенам; их свидетельства сомнительны, речи неясны. Эта сферическая книга есть Бог.)
Пока можно ограничиться классическим определением: Библиотека - это шар, точный центр которого находится в одном из шестигранников, а поверхность - недосягаема. На каждой из стен каждого шестигранника находится пять полок, на каждой полке - тридцать две книги одного формата, в каждой книге четыреста страниц, на каждой странице сорок строчек, в каждой строке около восьмидесяти букв черного цвета. Буквы есть и на корешке книги, но они не определяют и не предвещают того, что скажут страницы. Это несоответствие, я знаю, когда-то казалось таинственным.
Прежде чем сделать вывод (что, несмотря на трагические последствия, возможно, и есть самое главное в этой истории), я хотел бы напомнить некоторые аксиомы.
Во-первых: Библиотека существует ab aeterno. В этой истине, прямое следствие которой - грядущая вечность мира, не может усомниться ни один здравый ум. Человек, несовершенный библиотекарь, мог появиться в результате случая или действия злых гениев, но вселенная, оснащенная изящными полками, загадочными томами, нескончаемыми лестницами для странника и уборными для оседлого библиотекаря, может быть только творением Бога. Чтобы осознать, какая пропасть разделяет божественное и человеческое, достаточно сравнить каракули, нацарапанные моей неверной рукой на обложке книги, с полными гармонии буквами внутри: четкими, изысканными, очень черными, неподражаемо симметричными.