Всего за 79.99 руб. Купить полную версию
Определение понятия как логическая операция. Виды определений
Определением называется логическая операция, раскрывающая содержание понятия.
Определение выражает в сжатом виде знание о предмете и является важным моментом в познании действительности. Так, если не будет точных определений таких понятий как, например, "вина", "необходимая оборона", "преступление" и т. п., то это может привести к неоднозначному толкованию этих понятий, к неправильному пониманию отраженных в них явлений, а следовательно, к ошибкам суда и следствия.
Виды определений
Номинальное – это определение, посредством которого взамен описания какого-либо явления вводится новый термин (имя). Например, преломление света в капельках воды после дождя – радуга.
Реальное – это определение, раскрывающее существенные признаки предмета. Например, правосудие – это деятельность суда, состоящая в разбирательстве и разрешении уголовных и гражданских дел.
Реальное и номинальное определение часто может перетекать друг в друга.
По способу выявления содержания понятия выделяют явные и неявные определения. К явным относятся определение через род и видовое отличие и генетическое определение.
Определение через род и видовое отличие заключается в подведении определяемого понятия под более широкое по объему родовое понятие и указании видового отличия, т. е. признака, отличающего определяемый предмет от других предметов, входящих в это родовое понятие. Например, школьник – это учащийся в среднем учебном заведении общего профиля. Понятие "учащийся" является родовым по отношению к понятию "школьник", а остальная часть определения отличает школьника от других учащихся – студентов, курсантов и т. п.
Генетическим называется определение, указывающее на происхождение предмета, на способ его образования. Например, шар – это геометрическое тело, образованное вращением круга вокруг одного из своих диаметров.
К неявным определениям относятся определение через отношение к своей противоположности, контекстуальное, остенсивное.
Определение через отношение к своей противоположности заключается в сопоставлении двух противоположных понятий. Применяется в философии, так как определить через род и видовое отличие предельно широкие понятия (категории) невозможно. Например, свобода – осознанная необходимость.
Контекстуальное определение раскрывает содержание понятия применительно к данному тексту.
Остенсивное определение устанавливает содержание термина путем показа предмета, обозначенного этим термином.
Существуют правила определения, которые регулируют структуру определения.
1. Определение должно быть соразмерным.
2. Определение не должно заключать в себе круга.
3. Определение должно быть ясным.
4. Определение не должно быть отрицательным.
Деление понятия. Классификация
Деление понятия – это логическая операция, раскрывающая объем понятия.
Структура деления включает: делимое понятие – объем которого следует раскрыть; члены деления – соподчиненные виды, на которые делится понятие; основание деления – признак, по которому производится деление.
Сущность деления состоит в том, что предметы, входящие в объем делимого понятия, распределяются по группам.
Виды деления: по видоизменению признака; дихотомическое деление.
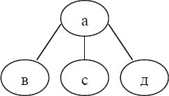
Деление по видоизменению признака заключается в выявлении основания деления и распределению предметов на группы исходя из данного признака. Например, государства (а) по своему устройству могу быть унитарными (в), федеративными (с) и конфедеративными (д).

Основанием деления могут быть любые признаки делимого понятия. Выбор признака зависит от цели деления, от практических задач.
Дихотомическое деление представляет собой деление объема делимого на два противоречащих понятия. Например, граждане могут быть совершеннолетние или несовершеннолетние. Иногда отрицательное понятие может вновь делится на две части, что помогает выделить интересующую нас группу предметов.

Правила деления
1. Деление должно быть соразмерным.
2. Деление должно проводиться только по одному основанию.
3. Деление должно быть непрерывным.
4. Члены деления должны исключать друг друга.
Особым видом деления является классификация.
Классификация – это распределение предметов по группам, при котором каждая группа имеет свое постоянное, определенное место.
Целью классификации является систематизация знаний, поэтому от деления она отличается стабильным характером и сохраняется более или менее длительное время. Кроме того, классификация образует развернутую систему, где каждый член деления делится на новые члены, разветвляясь на множество классов. Такова, например, классификация животных в биологии.
Суждение и его структура
Суждение – это форма мышления, в которой утверждается или отрицается связь между предметом и его признаком, отношения между предметами или факт существования предмета. Суждение может быть истинным или ложным.
Языковой формой выражения суждения является повествовательное предложение.
Структура суждения включает: субъект (S), который отражает предмет суждения; предикат (P), отражающий признак предмета; связку, которая соединяет оба термина суждения и выражается словами "есть" или "не есть". Связка в предложении может только подразумеваться или заменяться тире. Например:

Виды простых суждений
Простым называется суждение, состоящее только из одного суждения.
В зависимости от того, что утверждается или отрицается в суждении (принадлежность признака предмету, отношение между предметами или факт существования предмета), простые суждения делятся на: атрибутивные, суждения с отношением, суждения существования.
Атрибутивным, или категорическим называется суждение о признаке предмета. В нем отражается связь между предметом и его признаком. Например: "Все следователи должны быть юристами". В символической записи оно имеет следующий вид: S – P. Запись читается: S есть P.
В рассуждениях субъект или предикат может относиться не к одному, а к нескольким предметам. Например, "Иванов и Сидоров совершили кражу". Это суждение состоит их двух суждений – "Иванов совершил кражу" и "Сидоров совершил кражу". Но так как предикат относится к обоим субъектам, то суждение может рассматриваться как простое со сложным субъектом. Символическая запись может выглядеть следующим образом: S1, S2 – P.
Также может быть и суждение со сложным предикатом. Например, "Студенты пойдут в кино и на дискотеку" (S – P1, P2).
Суждением с отношением называется суждение об отношении между предметами. В нем отражаются отношения равенства, родства, временные, пространственные и т. п. Например, "2 + 2 = 4", "Саратов южнее Москвы", "Сергей – брат Семена", "Иванов пришел позже Петрова". В символической записи это выглядит так xRy, где x и y – члены отношения, а R – отношение между ними. Запись читается: x находится в отношении R к y. Суждения с отношением могут быть преобразованы в атрибутивные. Например, "Сергей есть брат Семена", где "Сергей" – предмет, а "брат Семена" – признак.
Суждение существования отражает сам факт существования или не существования предмета суждения. Например: "На Земле существует жизнь".
Простые атрибутивные суждения и отношения между ними
Атрибутивным называется суждение о признаке предмета.
Данные суждения делятся по качеству и количеству, но обычно используют объединенную классификацию.
По качеству суждения делятся на: утвердительные - в которых выражается принадлежность какого-либо признака предмету (например, "Петров учится в университете" – S есть P); отрицательные – в котором выражается отсутствие у предмета какого-либо признака (например: "Иванов не совершал данного преступления" – S не есть Р). Утвердительные и отрицательные суждения различаются качеством связки.
По количеству суждения делятся на единичные, в которых что-либо утверждается или отрицается об одном предмете (например: "Это здание – памятник архитектуры". Это S есть (не есть) Р); частные, в которых что-либо утверждается или отрицается о части предметов данного класса (например: "Некоторые студенты не являются отличниками". Некоторые S есть (не есть) Р); общие, которые что-либо утверждают или отрицают обо всех предметах данного класса (например, "Все свидетели дали показания". Все S есть Р. Ни один S не есть Р). Т. о., для того, чтобы показать количество, используются кванторы.
Исходя из объединенной классификации суждений выделяют следующие их виды.