Всего за 320 руб. Купить полную версию
Со стороны понятия данное отношение актуализируется не менее активно – всем известны примеры концептуализации (понятийного уподобления, содержательного выхолащивания семантики слов и перехода последних в служебные слова), а также уже упомянутые выше процессы семантизации структурных формантов языкового знака. Учитывать нужно двунаправленность данного отношения. Зачастую, когда "слово не способно объяснить внешний предмет, … сам внешний предмет становится объясняющим для слова" [46, 77].
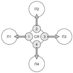
Итак, у слова как вербального (= языкового и речевого) знака можно выделить две ипостаси – семантическую (значимую) и понятийную (мыслительную). Первая ипостась имманентна. Вторая – относительна. Однако данная дихотомия не исчерпывает сути словесного знака. Учитывая мощную ассоциативную природу слова как языкового знака, целесообразно было бы говорить не о дихотомии, а о политомии семантико-понятийного отношения. Значение языковой единицы можно было бы представить в таком случае в виде сгустка, совокупности нескольких частей понятийно-ориентированных признаков, группирующихся вокруг единого семантического ядра; признаковых частей, выполняющих представительскую функцию, роль понятийных дейксисов, мыслительных векторов (рис. 4).

Рис. 4
Здесь П1, П2, П3, П4 – соотносимые в ассоциативном плане потенциальные мыслительные понятия;
СЯ – семантическое ядро значения языкового знака;
1, 2, 3, 4 – круги со стрелками, символизирующие признаковое представительство мыслительных понятий в семантической структуре языковой единицы.
Иногда признаковое представительство обозначаемого понятия получает в формальной структуре слова номинационное выражение в виде корневой морфемы, мотивационного признака или "внутренней формы" (по В. Гумбольдту). Это своего рода "сопредставление", или "созначение", ср. Leser – читатель; Wegerich – подорожник. Такое посредническое звено облегчает связь слова с мыслительным понятием.
Обобщая проблему знаковости в лингвистике, можно свести известные нам подходы к толкованию природы вербального знака к четырем типам.
1. Унилатеральный подход. Форма языковой единицы рассматривается как языковой знак. Форма-знак соотносится с понятием, которое приравнивается к языковому содержанию
или к значению. Здесь языковая категория отождествляется с мыслительной категорией. Словесная форма выступает как пустая оболочка, предназначенная для материализации значения-понятия.
2. Билатеральный подход. В соответствии с ним языковая единица толкуется как двусторонний языковой знак, состоящий из формы и неразрывно связанным с ней языковым значением. Значение языковой единицы не приравнивается к понятию. Только те понятийные элементы мыслительного содержания образуют основу или ядро языкового значения, которые традиционно ассоциируются с языковой формой и обеспечивают понимание в коммуникативном акте.
3. Триалатеральный, или тернарный подход, в соответствии с которым языковой знак представляет собой триединство – связь формы, акустемы и значения. Форма представляет собой звуковую материю слова. Акустема – это идеальное представление звуковой формы в языковом сознании. Значение представляет собой совокупность номинационных, грамматических и лексических признаков слова.
4. Кварталатеральный подход, в отличие от предыдущего, характеризует языковую единицу как четырехсторонний речевой (а не языковой!) знак. Это совокупность звуковой формы, акустемы, значения и части обозначаемого понятия. В соответствии с данным подходом речевой знак не просто актуализирует на уровне контекста одно из своих значений, а в результате взаимодействия языкового значения и обозначаемого понятия включает в свою структуру речемыслительное, интегративное качество. Это результат взаимодействия главного значения слова и мыслительного понятия.
Нельзя, однако, ограничивать форму языковой единицы лишь одним звуковым качеством. Ее следует толковать шире, а именно: как единство произносимого звука, движения органов речи, графического изображения. В соответствии с этим на второй ступени – на уровне идеализации, необходимо различать: акустему, кинему, графему.
Кроме того, необходимо выделить два основных типа значимых признаков вербального знака. К ним относятся семантические признаки самой формы слова, или интралингвистические семантические признаки, синтезированные с акустемой слова.
Это – (1) грамматические признаки (граммемы), номинационные признаки (номемы), словообразовательные признаки (архитектонические семы). Кроме того, к словоформе "привязано" так называемое экстралингвистическое содержание как стереотипное представление какого-то предмета действительности. Оно также представляет собой совокупность семантических признаков, ассоциируемых более или менее явно благодаря акустемной оболочке слова.
Это – (2) лексические, или контенсиональные (содержательные) признаки, ср.:
Малиновка – (1) ед. ч.; жен. р.; им. п.; "обитающая в малиннике", одушевл.;
(2) "птица с красной грудкой, вьющая свое гнездо в зарослях малинника, поющая с восходом солнца (на заре)" /поэтому имеющая еще одно название – зарянка/.
Будильник – (1) ед. ч.; муж. р.; им. п.; "будит спящего", неодушевл.; инструментальный предмет;
(2) "разновидность часов, с определенным механизмом для заводки, со звонком, имеющий определенную форму и т. п.".
Возвращаясь к проблеме соотношения единиц языка и единиц анализа, мы должны предварительно заметить, что если в семиотическом отношении обозначающий знак перетягивает на себя часть обозначаемого мыслительного содержания, то в случае заявленного отношения между инструментальным знаком и анализируемым языковым объектом происходит аналогичный процесс. Подвергаемая анализу вербальная единица перетягивает на себя инструментальную семантику. Это процедурное явление можно назвать комплементацией.
В предыдущем изложении мы эксплуатировали формулу, демонстрирующую принцип дополнительности, в соответствии с которым слово переходит из статуса языка в статус речи. Используем ту же формулу для объяснения характера соотношения единиц анализа (операционных, инструментальных единиц – слов, терминов) с вербальными единицами как объектов анализа. Попутно заметим, что совокупный термин "вербальный" мы используем в отношении "языковых" и "речевых" единиц, когда нет необходимости их дифференцировать.
Ср.:
A ⊃ a, b = A ⊃ a, c/… +d,
где A ⊃ a, b единица анализа, операционная единица (А), включающая в свой арсенал набор признаков (a, b);
A ⊃ a, c/… – вербальная единица (А) как объект анализа, обладающая набором признаков (a, c/…), из которых только один признак (а) тождественен заданному в операционной единице признаку (а); другие же явные и имплицитные признаки (c/…) не соответствуют признакам, заданным в средстве анализа (a, b), они не согласуются с ними, т. е. не охвачены методом анализа или этим методом игнорируются.
Неохваченность методом анализа – довольно частотный случай в практике лингвистического анализа. Данное процедурное явление прямо противоположно комплементации. Инструментальный признак не приписывается, а просто не высвечивает в исследуемом объекте другие имеющиеся в нем признаки. Например, инструментальное понятие "лексическое содержание слова" не предполагает в анализируемом слове "структуру". Понятие "семема" проецирует на слово не только смысловые признаки – "семы", но и предполагает их организованное единство (чаще в этом случае говорят об иерархической семемной организации). Однако понятие "семемы", в отличие от понятия "словесное значение", не предполагает неразрывную связь семемы с формой слова. Иными словами, семема лингвистически мыслится как семантическая база какого-то словесного значения. Синонимическое употребление данных терминов чревато искажением действительного положения дел. Смутное представление о потенциальном заряде того или иного термина, к сожалению, имеет место в лингвистических рассуждениях. Многие лингвистические дискуссии часто ведутся не по сути исследуемого явления, а по причине непонимания или перепонимания "смутных" терминов.
Последний компонент в приведенной формуле, +d, символизирует комплементивный признак, семантизирующий дополнительно анализируемую единицу со стороны операционной единицы. Заметим, что в методологическом плане наше языковедческое отношение к процедуре присвоения никак нельзя назвать положительным.
Итак, терминологический знак как инструмент анализа языкового явления объективно содержит в себе два отрицательных момента – недостаточность и избыточность. Недостаточность приводит к неполноте, односторонности анализа. Избыточность обусловливает искаженное, инструментально привносимое представление языкового объекта.