Всего за 114.9 руб. Купить полную версию

Рис. 24. Векторная диаграмма фазных и линейных напряжений при соединении источника треугольником
Такое же соотношение существует между любыми другими линейными и фазными напряжениями. Поэтому можно написать, что вообще при соединении источника звездой
![]()
Линейные напряжения равны соответствующим фазным напряжениям:
![]()
Можно написать, что при соединении источника треугольником вообще U′л = U′ф
Векторная диаграмма фазных и линейных напряжений при соединении источника треугольником приведена на рисунке 24.
21. СОЕДИНЕНИЯ ПРИЕМНИКОВ ЗВЕЗДОЙ
Из рисунке 25 видно, что при соединении звездой фазные напряжения приемника Ua , Ub и Uc не равны линейным напряжениям Uab , Ubc и Uca . Применяя второй закон Кирхгофа и к контурам aNba , bNcb и cNac , можно получить следующие соотношения между линейными и фазными напряжениями:
![]()
. Нетрудно построить векторы линейных напряжений (рис. 26).

Рис. 25. Схема соединения приемника звездой

Рис. 26. Векторная диаграмма при соединении приемника звездой в случае симметричной нагрузки
Если не учитывать сопротивлений линейных проводов и нейтрального провода, то следует считать комплексные значения линейных и фазных напряжений приемника равными, соответственно, комплексным значениям линейных и фазных напряжений источника. Вследствие указанного равенства векторная диаграмма напряжений приемника не отличается от векторной диаграммы источника при соединении звездой (см. рис. 26). Линейные и фазные напряжения приемника, как и источника, образуют две симметричные системы напряжений. Между линейными и фазными напряжениями приемника существует соотношение
Uл=√3Uф
Это соотношение справедливо при определенных условиях также в случае отсутствия нейтрального провода, т. е. в трехпроводной цепи.
На основании указанного соотношения можно сделать вывод о том, что соединение звездой следует применять в том случае, когда каждая фаза трехфазного приемника или однофазные приемники рассчитаны на напряжение в √3 раз меньшее, чем номинальное линейное напряжение сети.
Из схемы рисунке 25 видно, что при соединении звездой линейные токи равны соответствующим фазным токам: I д = I ф.
С помощью первого закона Кирхгофа получим следующее соотношение между фазными токами и током нейтрального провода:
![]()
Имея векторы фазных токов, нетрудно построить вектор тока нейтрального провода.
Если нейтральный провод отсутствует, то
![]()
22. СОЕДИНЕНИЯ ПРИЕМНИКОВ ТРЕУГОЛЬНИКОМ
Как видно из схемы, каждая фаза приемника при соединении треугольником подключена к двум линейным проводам. Поэтому независимо от значения и характера сопротивлений приемника каждое фазное напряжение равно соответствующему линейному напряжению: U ф = U л.

Рис. 27. Соединение фаз приемника треугольником и векторные диаграммы в случае симметричной нагрузки
Если не учитывать сопротивлений проводов сети, то напряжения приемника следует считать равными линейным напряжениям источника.
На основании схемы и последнего выражения можно сделать вывод о том, что соединение треугольником следует применять тогда, когда каждая фаза трехфазного приемника или однофазные приемники рассчитаны на напряжение, равное номинальному линейному напряжению сети. Фазные токи Iab , Ibc и Ica в общем случае не равны линейным токам Ia , Ib и Ic . Применяя первый закон Кирхгофа к узловым точкам a , b , c , можно получить следующие соотношения между линейными и фазными точками:
![]()
Используя указанные соотношения и имея векторы фазных токов, нетрудно построить векторы линейных токов.
При симметричной нагрузке в отношении любой фазы справедливы все формулы, полученные ранее для однофазных цепей, например:

При симметричной нагрузке:

При несимметричной нагрузке:

Рис. 28. Соединение фаз приемника треугольником
23. УСТРОЙСТВО И ПРИНЦИП ДЕЙСТВИЯ МАГНИТНЫХ УСТРОЙСТВ
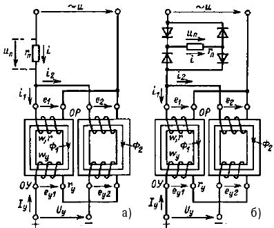
Магнитный усилитель (МУ) состоит из двух ферромагнитных магнитопроводов, на каждом из которых расположены рабочая обмотка ОР и обмотка управления ОУ. Для уменьшения потерь мощности магнитопроводы изготовляют из отдельных стальных листов. В некоторых случаях применяют ферритовые магнитопроводы. Рабочие обмотки соединяют, как показано на рисунке, параллельно либо последовательно и подключают к источнику переменного тока.
В цепь рабочих обмоток включен приемник электрической энергии rn . Обмотки управления соединены последовательно и получают питание от источника постоянного тока. Существенным является то, что обмотки управления включены встречно. Это дает возможность значительно уменьшить переменную составляющую тока в цепи управления, возникающую из-за магнитной связи между обмотками. Часто вместо двух обмоток управления МУ снабжается одной. Чтобы уменьшить переменную составляющую тока в цепи управления, обмотка должна охватывать в этом случае сразу два стержня магнитопроводов.
Цепь обмоток управления является входной цепью МУ, цепь рабочих обмоток – его выходной цепью.
Магнитный усилитель, изображенный на рисунке 29а, называется усилителем с выходом на переменном токе. Если приемник рассчитан на питание постоянным током, то его включают в цепь рабочих обмоток через выпрямительный мост (рис. 29б).
Магнитный усилитель в этом случае называется усилителем с выходом на постоянном токе.
Кроме магнитопроводов прямоугольной формы, МУ имеют магнитопроводы круглой и овальной формы. Вместо двух магнитопроводов некоторые МУ имеют один трехстержневой.
Обычно МУ снабжают несколькими обмотками управления, что дает возможность усиливать одновременно несколько сигналов, а также воздействовать на свойства и характеристику МУ. В зависимости от назначения обмоткам управления присваиваются соответствующие названия (обмотка управления, обмотка обратной связи по току, обмотка смещения и т. д.).

Рис. 29. Схемы МУ с выходом на переменном (а) и постоянном (б) токах
Для выяснения принципа действия МУ рассмотрим зависимость тока i рабочей цепи от степени подмагничивания магнитопроводов постоянным током управления I у. Будем считать сначала, что потери мощности в магнитопроводе, потоки рассеяния и активные сопротивления рабочих обмоток и потребителя равны нулю. На основании известных соотношений для идеализированной катушки с ферромагнитным магнитопроводом можно утверждать следующее.
Если напряжение источника изменяется по закону u = Um sin (ω t + π / 2), то при сделанных допущениях e 1 = e 2 = – u = Em sin (ω t + π / 2),
Φ1 = Φ m sin ω t + Φ0,
Φ2 = Φ m sin ω t – Φ0,
где Φ0 – постоянная составляющая магнитных потоков; при отсутствии подмагничивания постоянным током ( I у = 0) Φ0 = 0.