Всего за 114.9 руб. Купить полную версию

Рис. 19. Явление резонанса напряжений
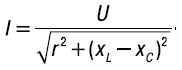
Это равенство будет иметь место, если xL = xC , т. е. реактивное сопротивление цепи равно нулю: x = xL – xC .
Выразив xL и xC соответственно через L , C и f ,
получим:

где f – частота напряжения, подведенного к контуру;
f рез – резонансная частота.
Таким образом, при xL = xC в цепи возникает резонанс напряжений, так как резонансная частота равна частоте напряжения, подведенного к цепи.
Из выражения закона Ома для последовательной цепи:

При резонансе:
IxL = IxC = UL = UC ; Ur = Ir = U ;
Q = QL – QC = ULI – UCI = 0.
18. РЕЗОНАНС ТОКОВ
Резонанс токов может возникнуть в параллельной цепи (см. рис. 20а), одна из ветвей которой содержит L и r , а другая – C и r .
Рис. 20. Резонанс токов в параллельной цепи

Резонансом токов называется такое состояние цепи, когда общий ток совпадает по фазе с напряжением, реактивная мощность равна нулю и цепь потребляет только активную мощность. На рисунке 20г изображена векторная диаграмма цепи (рис. 20а) при резонансе токов.
Как видно из векторной диаграммы, общий ток цепи совпадает по фазе с напряжением, если реактивные составляющие токов ветвей с индуктивностью и емкостью равны по модулю: I 1p = I 2p.
Общий реактивный ток цепи, равный разности реактивных токов ветвей, в этом случае равен нулю: I 1p – I 2p = 0.
Общий ток цепи имеет только активную составляющую, равную сумме активных составляющих токов ветвей: I a = I 1a = I 2a.
В идеальном случае, когда

При резонансе токов коэффициент мощности равен единице: cos φ = 1.
Полная мощность равна активной мощности: S = P .
Реактивная мощность равна нулю: Q = QL – QC = 0.
Энергетические процессы в цепи при резонансе токов аналогичны процессам, происходящим при резонансе напряжений.
Реактивная энергия действует внутри цепи: в одну часть периода энергия магнитного поля индуктивности переходит в энергию электрического поля емкости, в следующую часть периода энергия электрического поля емкости переходит в энергию магнитного поля индуктивности. Обмена реактивной энергией между потребителями цепи и источником питания не происходит. Ток в проводах, соединяющих цепь с источником, обусловлен только активной мощностью.
Для резонанса токов характерно, что общий ток при определенном сочетании параметров цепи может быть значительно меньше токов в каждой ветви. Например, в идеальной цепи, когда r 1 = r 2 = 0, общий ток равен нулю, а токи ветвей с емкостью и индуктивностью существуют: они равны по модулю и сдвинуты по фазе на 180°. Резонанс в цепи при параллельном соединении потребителей называется резонансом токов.
Резонанс токов может быть получен путем подбора параметров цепи при заданной частоте источника питания или путем подбора частоты источника питания при заданных параметрах цепи.
19. СПОСОБЫ СОЕДИНЕНИЯ ФАЗ ИСТОЧНИКОВ И ПРИЕМНИКОВ. ПОЛОЖИТЕЛЬНЫЕ НАПРАВЛЕНИЯ ЭДС, НАПРЯЖЕНИЙ И ТОКОВ
Чтобы уменьшить число проводов, отдельные фазы источников соединяют между собой звездой или треугольником.

Рис. 21. Схема соединения фаз генератора звездой

Рис. 22. Схема соединения фаз генератора треугольником
При соединении звездой (рис. 21) концы x , y и z трех фаз объединяют в одну общую, так называемую нейтральную точку N 1. При соединении треугольником (рис. 22) конец x одной фазы соединяют с началом b второй фазы, конец второй фазы – с началом c третьей фазы, а конец z третьей фазы – с началом a первой фазы. В обоих случаях начала a , b и c трех фаз с помощью трех линейных проводов подключаются к приемникам электрической энергии, которые также соединяются звездой или треугольником .
Способы соединения фаз источников и приемников могут быть как одинаковыми, так и различными. При соединении фаз источника и приемника звездой иногда применяется нейтральный провод, соединяющий нейтральные точки N 1 и N источника и приемника.
Может показаться, что при соединении фаз источника треугольником в замкнутом контуре возникает ток даже при отключенных приемниках. Но это не так, поскольку
![]()
Электрические цепи при соединении источника треугольником и звездой без нейтрального провода называют трехпроводными , при соединении источника звездой с нейтральным проводом – четырехпроводными .
В трехфазных электрических цепях различают фазные и линейные напряжения и токи.
Фазными называются напряжения между началами и концами отдельных фаз источника или приемника.
Под фазными понимают токи в фазах источника или приемника. Например, на рисунке 21 фазными напряжениями и токами являются U ′ a , U ′ b , U ′ c , Ia , Ib и Ic . На рисунке 22 фазные напряжения и токи обозначены U ′ a , U ′ b , U ′ c , Iba , Icd и Iac .
Линейными называются напряжения между началами фаз источника или приемника либо между линейными проводами. Линейными токами являются токи в трех линейных проводах, соединяющих источник и приемник.
За положительные направления ЭДС источника принимают направления от концов фаз к их началам. Фазные токи направляют согласно с ЭДС, а фазные напряжения – в противоположную сторону.
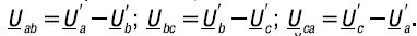
Линейные напряжения направляют следующим образом: напряжение Uab – от a к b , Ubc – от b к c , Uca – от c к a . Линейные токи во всех линейных проводах направляют к приемникам.
20. СООТНОШЕНИЯ МЕЖДУ ФАЗНЫМИ И ЛИНЕЙНЫМИ НАПРЯЖЕНИЯМИ ИСТОЧНИКОВ. НОМИНАЛЬНЫЕ НАПРЯЖЕНИЯ
Фазные напряжения источника отличаются от его ЭДС вследствие падений напряжения во внутренних сопротивлениях источника, а напряжения приемника отличаются от напряжений источника за счет падений напряжения в сопротивлениях проводов электрической сети. Пока же для упрощения анализа соотношений в трехфазных цепях будем пренебрегать указанными падениями напряжения.

Рис. 23. Векторные диаграммы фазных и линейных напряжений при соединении источника звездой
Применяя второй закон Кирхгофа поочередно ко всем фазам, при сделанном допущении и соединении источников звездой получим:
![]()
На основании этих выражений можно сделать вывод о том, что если генератор имеет симметричную систему ЭДС, то его фазные напряжения тоже симметричны, а векторная диаграмма фазных напряжений (рис. 23а) не отличается от векторной диаграммы ЭДС генератора.
На основании уравнений по второму закону Кирхгофа для контуров N 1 abN 1, N 1 bcN 1 и N 1 caN 1 нетрудно получить следующие уравнения, связывающие линейные и фазные напряжения:
![]()
Можно построить векторы линейных напряжений Uab , Ubc и Uca .
Из векторной диаграммы (рис. 23а) следует, что при соединении источника звездой линейные напряжения равны и сдвинуты по фазе относительно друг друга на угол. Векторы линейных напряжений изображают чаще соединяющими векторы соответствующих фазных направлений, как показано на рисунке 23б. Из векторной диаграммы (рис. 23б) следует, что