Задание 5. Исследование самооценки личности
Цель. Найти количественное выражение уровня самооценки.
Материал. Слова, характеризующие отдельные качества личности: аккуратность, беспечность, вдумчивость, вспыльчивость, восприимчивость, гордость, грубость, жизнерадостность, заботливость, завистливость, застенчивость, злопамятность, искренность, изысканность, капризность, легковерие, медлительность, мечтательность, мнительность, мстительность, настойчивость, нежность, непринужденность, нервозность, нерешительность, несдержанность, обаяние, обидчивость, осторожность, отзывчивость, педантичность, подвижность, подозрительность, принципиальность, поэтичность, презрительность, радушие, развязность, рассудочность, решительность, самозабвение, сдержанность, сострадательность, стыдливость, терпеливость, трусость, увлекаемость, упорство, уступчивость, холодность, энтузиазм.
Ход выполнения
1. Количественно выражать уровень самооценки можно путем выбора слов, характеризующих представления школьника о том, какие черты он хотел бы иметь и какими действительно обладает. С этой целью он просматривает слова и составляет из них два ряда (от 10 до 20 слов в каждом). В первый ряд учащийся выписывает слова, которые, по мнению школьника, характеризуют положительные черты его идеала. Во второй ряд он вносит те слова, которыми его идеал обладать не должен. Первый ряд слов составит "положительное" множество, второй ряд – "отрицательное" множество (условно можно назвать его "антиидеал"). Они будут эталонами.
Затем испытуемый должен выбрать из "положительного" и "отрицательного" множеств те черты, которыми он, по его мнению, обладает. Причем он должен ориентироваться не на степень выраженности данной черты, а только на ее присутствие или отсутствие ("да" или "нет").
Обработка данных
Для каждого множества подсчитывается количество черт, которые выбрал испытуемый, и делится на общее число слов в соответствующем эталонном ряду. Если коэффициент по "положительному" множеству близок к единице, то испытуемый, скорее всего, переоценивает себя, относится к себе некритически. Коэффициент по "отрицательному" множеству, близкий к единице, говорит о недооценке учащимся своей личности и о его повышенной самокритичности. Коэффициент по "положительному" множеству, близкий к нулю, указывает на недооценку испытуемым себя. Коэффициент по "отрицательному" множеству, близкий к нулю, указывает на повышенную самооценку. Коэффициенты, близкие к нулю и пяти, говорят о нормальной, средней оценке себя испытуемым: школьник не переоценивает себя и в то же время достаточно критичен.
2. Аналогичный эксперимент можно провести, используя более сложную, но зато более точную математическую обработку. Для этого потребуется вычислить коэффициент связи между двумя рядами слов. Испытуемый, выбрав из списка 20 слов, должен расположить их в два ряда по 20 слов в каждом. В первом ряду сначала записывается слово, выражающее качество, которое кажется школьнику наименее желаемым. Затем вносится слово, обозначающее качество, которое нравится испытуемому в большей степени, и т. д. И, наконец, последнее слово обозначает качество, которое нравится ему в наибольшей степени. Далее школьник составляет второй ряд, начиная со слова, выражающего качество, которое, как он считает, присуще ему в наименьшей степени. Затем выписывается название качества, которое присуще испытуемому несколько больше, и т. д. На последнее место ставится слово, обозначающее черту, которой учащийся, по его мнению, обладает в наибольшей мере.
Обработка данных
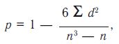
Порядковые номера этих свойств в обоих рядах принимаются за их ранги. Разность номеров (рангов), определяющих место того или иного свойства, в каждом случае дает возможность вычислить корреляцию по формуле:

где n – число рассматриваемых свойств, d – разность номеров рангов.
Например, испытуемый составил два таких ряда:

Определяем разность рангов: завистливость (1 – 3) = 2; несдержанность (2 – 2) = 0; легковерие (3 – 1) = 2; мстительность (4 – 10) = 6; презрительность (5 – 18) = 13 и т. д.
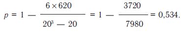
В нашем примере ?d2 = 22 + 02 + 22 + б2 + 132 + 12 + 22 + 02 + 52 + З2 + 82 + 82 + 42 + З2 + 12 + 102 + 22 + б2 + 52 + 72 = 620.
Следовательно,

Тренинг самопознания личности
Упражнение 1. "Атрибуты личности"
Каждому участнику предлагается обзавестись личной символикой. Он должен придумать, изобрести для себя три символических атрибута: псевдоним, именной отличительный знак и девиз. Именной отличительный знак следует нарисовать на листке бумаги. Он должен быть простым и символичным. От девиза требуется краткость и образность. Приводится пример: псевдоним – "Дядя Вася", отличительный знак – лопата, девиз – "Рою глубоко".
По окончании работы все показывают друг другу свои рисунки, обсуждают их и пытаются дать каждому из собравшихся характеристику. Кроме того, участники должны оценить, насколько удачно каждый выбрал символические атрибуты. Исходя из пятибалльной системы, каждому проставляется оценка по совокупности выбранных им псевдонима, именного знака и девиза. Для этого все пускают свои листочки по кругу и все по очереди проставляют на них оценки. Далее подсчитывается суммарный балл и устанавливается, кто лучше всех смог выразить себя в такой "символической форме".
Упражнение 2. "Коллективное создание образа личности"
Каждому интересно знать, какое впечатление он производит на окружающих, какие вызывает у них ассоциации, что воспринимается как существенное, а что вовсе не замечается. Предлагается всем принять участие в совместном творческом процессе создания художественного образа вашего одноклассника. Желающий стать объектом творчества выходит в середину круга, который образуют остальные. Каждый участник, подумав, говорит, какой образ рождается у него при взгляде на одноклассника. Далее ведущий предлагает сказать, какую картину можно было бы дорисовать к созданному образу: какие люди могут его окружать, какой интерьер или пейзаж составили фон картины. Какие времена все это напоминает (например, образ "добровольца" может натолкнуть вас на мысль о русалке, плавающей в водной стихии и окруженной морскими существами. А может быть, вам придет в голову одинокий странник, идущий по пустыне неизвестно куда.). В заключение все обмениваются впечатлениями о том, как проходила игра.
Упражнение 3. "Средства персонализации"
Как уже говорилось, настоящая личность способна производить глубокие изменения в окружающих. Но это дается ей не сразу. Первая ступень – умение завоевать внимание окружающих.
Всем участникам предлагается выполнить одну простейшую задачу. Любыми средствами, исключая физические воздействия и катастрофы "местного значения", они должны постараться привлечь к себе внимание окружающих. Все должны действовать одновременно.
Потом школьники определяют, кому это удалось и за счет каких средств. В заключение подсчитывается, кто привлек внимание большего числа участников игры.
Упражнение 4. "Качества, которые мы ценим"
Вступая во взаимодействие с окружающими, мы обычно обнаруживаем, что они нравятся нам или не нравятся. Как правило, эту оценку мы связываем с внутренними качествами людей. Давайте попробуем определить, какие качества в людях мы ценим, принимаем. Каждый участник берет листок бумаги, намечает в группе человека, который во многом ему импонирует. Далее он записывает пять качеств, которые ему особенно нравятся в этом человеке. Затем каждый читает составленную им "характеристику", и все вместе пробуют определить, к кому она относится. Ведущий, подводя итоги, объявляет, кого из присутствующих узнали быстрее всех, и следовательно, кто оказался в числе самых популярных личностей.
Вопросы для самопроверки
1. Перечисленные ниже особенности поведения человека характеризуют его либо как индивида, либо как личность. Выделите особенности, которые отражают поведение индивида, и особенности, которые отражают поведение личности. Обоснуйте ответ.
а) Старательность, низкая адаптация к темноте, общительность, хорошая координация обеих рук, медленная скорость узнавания, большая эмоциональная возбудимость, трудолюбие, аккуратность, малая моторная ригидность, высокая сенсорная чувствительность.
б) Добросовестность, робость, высокая скорость двигательных реакций, высокая скорость усвоения навыков, скромность, правдивость, пластичность, упрямство, реактивность, малая чувствительность к общественной оценке, подвижность, быстрый темп деятельности.
2. Ниже в двух колонках дана следующая информация: слева – проявления свойств личности и свойств индивида, справа – их существенные отличительные признаки.
Какие из перечисленных справа признаков характерны для каждого свойства?
Какие из свойств являются свойствами личности и какие – свойствами индивида?
